Two angles that add to 90o
What is: Complementary Angle
True or False: This is the Angle Addition Postulate.
m angle RST = m angle RSP + m angle PST

What is: True
In order to find the midpoint, we take the _________ of the x - and y-coordinates of the endpoints.
What is: average
What is the square root of 49? If necessary, round your answer to the nearest tenth (one decimal place).
What is: 7
True or False: When taking the area of a polygon, you must square the units?
Two angles that add to 180o
What is: Supplementary Angle
Find the measure of angle x in the diagram below.

What is: 97o
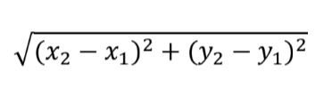
True or False: This is the midpoint formula

What is: False, this is the Distance Formula
What is the square root of 37? If necessary, round your answer to the nearest tenth (one decimal place).
What is:
approx 6.1
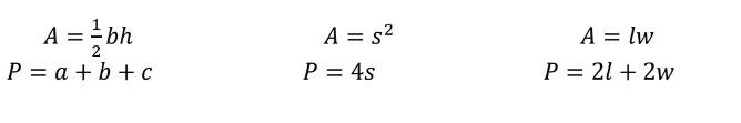
The following formulas are for which shapes. Say the answer in the respective order.

What is: Triangle, Square, and Rectangle
A ray that divides an angle into two congruent angles
What is: Angle bisector
Find x if
m angle JKH = 122 ^o

What is: x = 88o
Find the midpoint of each line segment with the given endpoints.
(1,2) and (7,6)
What is: (4,4)
True or False: We always have to use the distance formula to find the length of a segment.
What is: False [Vertical and Horizonal lines]
Find the perimeter and area of the following polygon. Include units of measure.

What is:
P = 44 m
A = 121 m2
The distance around the outside of a polygon
What is: Perimeter
Find x if
m angle PLU = 10x+17

What is: x = 12
Find the midpoint of each line segment with the given endpoints.
(0,-4) and (-3,8)
What is: (-1.5,2)
Find the distance between the two points given
(8,5) and (4,0)
What is:
d approx 6.4
Find the perimeter and area of the following polygon. Include units of measure.

What is:
P = 31 in
A = 58.5 in2
The amount of space taken up by a polygon
What is: Area
Identify the angle bisector. Then solve for x.

What is: x = 15
vec (SR)
Read the graphs and find the midpoint of each line segment shown.

What is: (-1,-0.5)
Find the distance between the two points given

What is:
d approx 5.8
Find the perimeter and area of the following polygon. Include units of measure.

What is:
P = 19 cm
A = 17.1 cm2