All living things are made up of one or more of these basic units of life.
cells
This "electrifying" character was named after the doctor who created him
Frankenstein
The autumn equinox marks the start of fall in the Northern Hemisphere when day and night are roughly this long.
12 hours
These molecules are the body’s main source of quick energy and include sugars and starches.
carbohydrates
Identify the biomolecule
lipid
a large molecule made up repeating subunits
polymer
Living organisms must be able to keep their internal environment stable, a process called this.
homeostasis
Every halloween Charlie Brown and Linus wait for this character to appear
The Great Pumpkin
Many animals, like bears and bats, prepare for winter by entering this state of deep rest.
hibernation
Long term storage: include triglycerides, steroids, and phospholipids
lipids
A student tests a food sample with Benedict’s solution, heats it, and it turns orange. Name the biomolecule present.
(partial credit)
carbohydrates (100)
simple sugar or glucose (200 points)
molecules that contain carbon are said to be ___
The term that causes a response. For example: the bright light causes a person to squint
stimuli
This gas makes dry ice "fog" flow across the floor at Halloween parties.
carbon dioxide
This common fall spice blend usually includes cinnamon, nutmeg, ginger, and cloves.
Pumpkin Spice
These proteins speed up chemical reactions
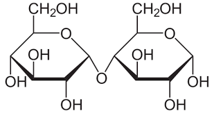
Identify the biomolecule

carbohydrate
(+100 = disaccharide)
negative feedback
All living things obtain and use energy. Anabolism and Catabolism makes up this "ism"
metabolism
The eerie blue-green glow some ocean creatures produce on dark nights is caused by this natural light-emitting process.
bioluminescence
This gas, essential for photosynthesis, is absorbed by trees and released back into the air when leaves decay.
What is carbon dioxide
-saccharides mean ______, which indicates a carbohydrate
sugar
Identify the indicator used to test for starch? If present it will turn a dark purple/black
iodine
bacteria
A trait that an organism has to be best fit for the environment it lives. This results in an organism to survive and reproduce.
adapatation
Which country did Halloween originate?
Ireland
The pigment found in leaves that begin to break down as leaves change color.
chlorophyll
the building blocks of lipids
glycerol and fatty acids
Name the process that would break this polymer into single units.

hydrolysis
Four things ALL cells have in common
cytoplasm
cell membrane
ribosome
DNA