Hvad er 1. A's Yndlingsfag
Hvad er Matematik
5+x=12
Hvad er 7
20% af 100
hvad er 20
I en trekant er der x antal grader
Hvad er 180
Hvad er S=B(1+r)
De 4 regnemetoder for matematik på latin hedder på dansk
Plus
Minus
Divider
Gange
Hvad er
Plus = Addition
Minus = Substraktion
Divider = Division
Gange = Multiplikation
10x+5=205
Hvad er x=20
30% af 3000
Hvad er 900
Hvad er bruge en fordoblings formel
Pythagoras sætning hedder
Hvad er A2+B2=C2
Ligningen for rækkefølgen er
1,3,7,15,31,63
Hvad er x*2+1
x er
15+x=4x
Hvad er x=5
Tid til lomme regneren
11% af 4700
Hvad er 517
Hvad er Hypotenusen
Kapitalformlen hedder
Hvad er K=K0 *(1+r)n , r=p/100
Der findes kun Trekanter i trigonometri
Begrund Hvorfor
Hvad er Nej, Vi bruger enhedscirklen
Hvilken person i klassen har mindst fravær i Matematik
Hvem er Mikkel
Det er fredag og der er tilbud 10% tilbud på 3 rammer øl
En ramme øl koster 70 kroner
Nicki køber 3 rammer
Hvor meget spare han?
210/100*10
Hvad er kateter
Kvadratsætningen for (a+b)2
Hvad er a2+b2+2ab
Den Bedste Matematik lære hedder
Hvem er Mikkel
Formlen for procentvis ændring p
Procent tegnet betyder
Sinus, Cosinus og Tangens kan bruges til at finde
Hvad er Vinkler og Sider
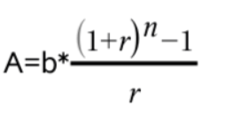
Annuitetsopsparing formlen hedder
Hvad er