f(t)=a(1+r)t
What is the formula for Exponential Growth
x=(-b +- sqrt(b^2-4ac))/(2a
What is the Quadratic Formula?
Perhaps the most commonly used form of a linear equation y=mx+b
What is slope-intercept form of a linear equation?
The name of this equations

What is a system of equations
The acronym PEMDAS commonly used to represent the order of operation
What are Parenthesis, Exponents, Multiplication, Division, Addition, and Subtraction?
DAILY DOUBLE:
Here is a graph representing an exponential function . The function gives the value of a computer, in Y dollars, as a function of time, X , measured in years since the time of purchase. What is the value of the computer 2 years after it was purchased?

What is $100.00
(x+9)2 + 1=0
What is the vertex form of a quadratic equation?
The standard form of a linear equation.
What is ax+by=c?
Elimination, Graphing, and Substitution
What are the methods of solving a system of equations?
Simplify this expression

What is 3-21m?
Given f(x)=2x
Then f(6)=...
What is 64?
A curve that includes a vertex and intercepts. In addition, it is known as a curve where any point is at an equal distance from:
What is parabola?
The equation used to find the slope when presented with a graph or a table.
What is
(underset(2)(y)-underset(1)(y))/(underset(2)(x)-underset(1)(x))
?
Intersecting lines which create a point where the lines intersect creating the solution to the system of equations.
Parallel Lines which never intersect creating no solution to the system of equations.
Coinciding lines which means the two lines or atop each other creating infinitely many solutions.
What are the three categories of lines that are found in a linear system of equations?
Find the value of n in the following equation:

What is n=-1?
Here is a graph of P, an insect population, W weeks after it was first measured. The population grows exponentially.
What is the weekly factor of growth for the insect population?

What is 3?

What is a vertex?
The slope derived from this table 
What is m=2?
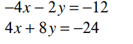
The solution of the system of equation is depicted below:
What is (4,-3)
Multiply the following expressions:

What is 25n2+5n-30
Here is a graph of P, an insect population, W weeks after it was first measured. The population grows exponentially. Write an equation relating P and W.

P(w)=300*3w
DAILY DOUBLE:
SOLVE THE FOLLOWING QUADRATIC FUNCTION
x2+2=11-8x
What is x =1 and -9
The y-intercept of this linear function:
3y+6y-36x-9x-117=0
What is 13?
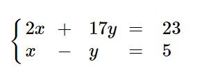
The system of equations has the following equations:

What is (6,-9)
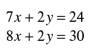
Solve the system of Equations:

What is (6,-6)