The ___ form of a linear equation is an equation in the form Ax+By=C with not both A and B equal to zero.
What is standard?
Set both given equations equal to zero, then combine them into one standard form equation.
What is:
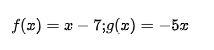
Find f(g(x)) 
What is 
Solve the system
Solve by graphing
(6, -1)
A(n) _________ function is a function defined differently on different intervals of the function's domain.
What is piecewise?
Change the statement from standard form to slope-intercept form. Identify the slope and y-intercept.
What is
y=-5x+6
Slope = -5
y-intercept = 6
Find g(f(x)).
What is
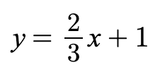
Find the inverse of the linear function.
What is
Daily Double #1
answer on slide
Every linear function with a ___ slope will have an inverse function.
What is nonzero?
Change to slope-intercept form.
What is

Find the inverse of 
What is
y=(1/7)x + 3/7
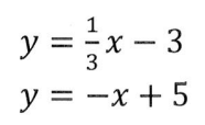
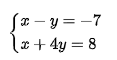
Solve the system:

What is (-1, 3)
What comes next?
3, 6, 10, 15
21 - they are triangle numbers
The method of solving a system of equations or inequalities by systematically adding or subtracting a multiple of one equation or inequality to a multiple of another equation to eliminate a variable is called ___ elimination.
What is Gaussian?
Set both inequalities greater than (>) or less than (<) zero. Transform the second inequality so both have the same inequality symbol. Apply the Transitive Property and solve. Make sure the leading coefficient is positive.
What is:
Find the inverse of 
What is
y = 7x - 3
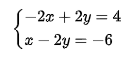
Solve the system
What is (7, 4)?
Daily Double #2
answer on slide
A linear ___ is a mathematical statement that two linear expressions, or a linear expression and a constant, are not equal.
What is an inequality?
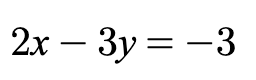
Write in formal standard form.


Find the solution to the linear system by using the x - and y -intercepts.
What is (2, 4)?
Find the solution to the linear system using Gaussian elimination.
What is (-4, 3)?
Solve. Select all that apply.
