Jul
Økonomi
Formler
Identitet
2023
100

Hvilket dyr drar på nissen slede?

Reinsdyr

100

Hvilke to typer lån har vi?

Serielån og annuitetslån
100

Hva blir A i denne formelen?


A = 8

100

Hva er en identitet

Hvem vi er

100

Hva ble ikke lenger erklært en internasjonal folkehelsekrise 5 mai 2023?

Korona - pandemien 

200

Hvilken farge har Grinchen?

Grønn

200

Hva hjelper budsjett oss med?

Å styre hvordan vi bruke penger.

200


4. 

200

Hva formes identiteten av?

Arv og omgivelsene
200

Hvilken partileder ble tatt for å stjele et par solbriller på Gardemoen? 

Bjørnar Moxnes (Rødt)

300

Hvilke dyr er laget av mandler, melis og eggehviter?

Marsipangrisen

300

Hva kalles det når vi har tjent mer enn det vi bruker?

Overskudd

300

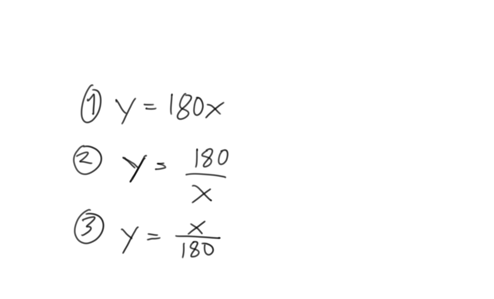
Timelønnen din er 180kr. Lag en formel y for hva du tjener per time x. 


1. 

300

Hva er sosialisering?

Hvordan samfunnet former oss. 

300

Hvem ble tildelt Nobelprisen i litteratur 2023? 

Jon Fosse

400

Hvem har skrevet Julekveldsvisa?

Alf Prøysen

400

Hvorfor kan det være skummelt å bruke kredittkort eller ta opp forbrukslån?

Det er høye renter og kan bli dyrt å betale tilbake.

Du kan bli fristet til å kjøpe noe du ikke har råd til. 

400

Snu på formelen og finn for t.


t = s/v

400

Hva kalles en anerkjent regel som samfunnet forventer at vi følger? 

Norm

400

Hvor ble klimatoppmøte for 2023 ledet? 

Dubai

500

Hvilket land startet med juletre først?

Tyskland

500

Hva er renter?

Det du betaler for å låne penger

500

Snu på formelen og finn for D. 


D = K*I + d

500

Hvilken dato feires samenes nasjonaldag?

6. februrar 

500

Hva var det mest sette sports eventet i 2023?

Super Bowl LVII

M
e
n
u