What arboreal marsupial is known for sleeping the vast majority of the day?
The koala
What is part of a database that holds only one type of information?
Field
Blue is what number on the resistor color code?
6
The speed of your net access is defined in terms of.
Kbps
What can be broken but never held?
A promise
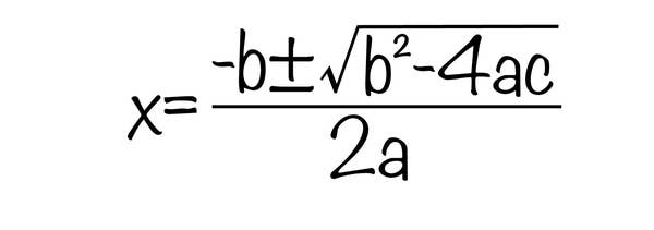
What is in this picture? 
The Quadratic Formula
'.MOV' extension refers usually to what kind of file?
Animation/movie file
Changing computer language of 1's and 0's to characters that a person can understand is...
Decode
How many diodes are in a full wave bridge rectifier?
4
What is it that lives if it is fed, and dies if you give it a drink?
Fire
What fish is used to make calamari?
Squid
Most modern TV's draw power even if turned off. The circuit the power is used in does what function?
Remote control
How many bits is a byte?
8
The "desktop" of a computer refers to:
The visible screen
What never asks a question but gets answered all the time?
Your cellphone
If you had pogonophobia what would you be afraid of
Beards
Which is a type of Electrically-Erasable Programmable Read-Only Memory?
Flash
Computers calculate numbers in what mode?
Binary
Which device can be used to store charge?
Capacitor
What word would you use to describe a man who does not have all his fingers on one hand?
Normal, because people usually have half their fingers on one hand.
What is the tiny piece at the end of a shoelace called?
An aglet
The purpose of choke in tube light is ?
To increase the voltage momentarily
What is an FET?
Field Effect Transistor
Which of the following operating systems is produced by IBM?
A OS-2
B Windows
C DOS
D UNIX
OS-2
A girl fell off a 50-foot ladder but didn’t get hurt. How come?
She fell off the bottom step