This is the value of the expression below.
What is 100?
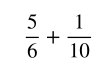
This is the sum of:
What is:
This is the sum of 1.35 + 2.67
What is 4.02?
This is the answer for 7 x 4.
What is 28?
This is the quotient to 35 ÷ 7.
What is 5?
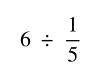
What is
This is the difference of:
What is:
This is the difference of 4.3 - 1.47
What is 2.83?
This is the answer for 9 x 6.
What is 54?
This is the quotient to 56 ÷ 8.
What is 7?
This is the value of the following expression:
5 x 103
What is 5,000?
This is the estimated sum of:
What is 1?
This is 34.537 rounded to the nearest tenth.
What is 34.5?
This is the answer for 12 x 11.
What is 132?
This is the quotient to 108 ÷ 12.
What is 9?
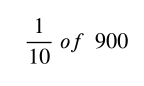
This number is:
What is 90?
This is he estimate for:

What is 13?
This is the product of 4.56 x 1.2
What is 5.472?
This is the answer for 38 x 93.
What is 3,534?
This is the quotient to 510 ÷ 5.
What is 102?
This is the standard form of the following number:
What is:
7,802.03?
This is the estimate for:

What is 5?
This is the quotient of 45.3 ÷ 1.5
What is 30.2?
This is the answer to 915 x 64.
What is 58,560?
This is the quotient to 55,672 ÷ 18.
What is 3,092 R16?