Which of the following numbers are Prime?
31 // 1 // 19 // 2 // 51
31 // 19 // 2
Solve the equation for Y
5.67=Y-32
What is y=37.67
Which ratios are equivalent to 14:6?
126:54
91:33
77:30
49:21
7:3
What is
126:54
49:21
7:3?
Express 85% as a fraction in simplest form.
What is 17/20?
Bruno has 13 more cookies than Caleb. If Caleb has x cookies, write an expression for the number of cookies Bruno has.
What is X+13?
The Cube of 9
What is 189?
Solve the equation for y:
3/4Y=21
What is y=28?
James went on a 16mi hike. If it took him 4hrs, what is his average speed?
What is 4mi/hr?
In a survey, 130 out of 250 students said they played video games. What percent of students played video games?
What is 52%?

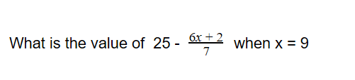
What is 17?
The value of 53+72+82
What is 238?
Mr. Kim has p goats and q cows on his farm. He has 23 fewer cows than goats. If Mr. Kim has 45 goats, how many cows will he have?
What is 22 cows?
Rachel is paid $1620 for 24 days of work. How much is she paid per day?
What is $67.50?
A bakery can bake 270 Loaves of bread & 90 cakes daily. What percent of the baked goods are cakes?
What is 25%?

What is 35?
Find the perimeter and area of the figure below
Perimeter- What is 27cm?
Area- What is 20cm2?
A bookshelf can hold a maximum of 80 comic books. The comic books are bundled together in a group of 4. Write an inequality to find the maximum number of bundles of comic books that the shelf can hold.
Water is poured into a tank at a rate of 320 liters every 24 minutes. At the rate, how much water will be poured into the tank in 120 minutes?
What is 1,600L?
In 2016, 520 students graduated from high school & 494 of them went to college. In 2017, 450 students graduated from high school & 441 of them went to college. Which year had a higher percentage of students that went to college
What is 2017?
Factor the algebraic expression:
43d+24-7D
12(3d+2)
Find the Perimeter and the Area of the following figure
Perimeter- What is 48cm?
Area- What is 119cm2
There are 9 bags of pens in each box. Each bag has more than 15 pens. Write an inequality to represent n, the number of pens in each box.
What is 9(n)>135?
In a parking lot, the ratio of the number of cars to the number of trucks is 18:7. What is the ratio of trucks to the TOTAL number of cars & trucks in the parking lot?
Yolanda wants to buy a Piñata for her Space Exploration club party at school. The Piñata normally costs $140, but is on sale for 30% off. With a tax rate of 8%, how much will Yolanda pay for the Piñata on sale including tax?
What is $105.84?
Julia wants to buy 2 skirts & 3 blouses. The 3 blouses cost 6w dollars. The cost of one skirt is (8+5W) more than the cost of 1 blouse. Julia claims she needs (20w+16) dollars for the 2 skirts and 3 blouses. Is Julia correct?
What is correct?