The name of this type of transformation:

What is reflection?
Triangle EFG is similar to triangle TUV. The measure of angle U is ____.

What is 48o?
The y-intercept of the equation y=36x+102
What is 102?
The coordinate pair solution to the system equations in this graph:

What is (2,-1)?
This is what we call the variable which determines the dependent variable.
What is "independent variable."
Two polygons have exactly the same interior angles and side lengths. The two polygons are _______ to each other.
What is "congruent"?
The scale factor of dilating triangle a to triangle b.

What is 4?
The slope of the equation y=-673x+10
What is -673?
A system of two equations has no solution if the two lines on the graph are ______.
What is parallel?
What is a function?
"180o clockwise about the origin" is an example of this type of transformation.
What is a rotation?
The measure of angle x.
What is 150o?
The gas station that has cheaper gas out of P or M.
What is gas station M?
The terms 2x and 5x in the equation 2x-2=5x+12 are a pair of ____ ____.
What are "like terms"?
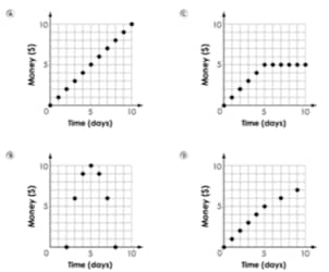
Rihanna started a new piggy bank. She deposits the same amount of money into the piggy bank every day for the first 5 days. After that, she does not deposit any more money into the bank. The graph that best represents the amount of money she has in the piggy bank is ___.

What is C?
These triangles are translations of A.

What are triangles B and D?
The slope of the line on this graph:

What is 3?
The slope of the line through (1,3) and (5,11).
What is 2?
The solution to the equation 20+x=2+4x
What is x=6?
The table that does not represent a function.

What is Table D?
Three coordinates of square ABCD are A(0,0), B(9,0), and D(0,-9). Reflect ABCD along the x-axis to get square A'B'C'D'. The coordinate pair of point C' is ____.
What is C'(9,9)?
Three coordinates of rectangle ABCD are B(5,2), C(5,0), and D(1,0). ABCD was dilated by a scale factor of 3 about the origin to form rectangle A'B'C'D'. What is the coordinate pair of A'?
What is A'(3,6)?
Nicky just opened a savings account and deposited $300 into it. Every month, she deposits another $50. The equation representing the money in Nicky's savings account after x months is __________.
What is y=300+50x?
The coordinate pair solution to the following system of equations:
y=2(x+1)
y=3x
What is (2,6)?
What is y=mx+b?
(Notice: linear functions may take different form, but they will never have exponents on variables and never leave x in the denominator.)