solve x2 = 121
+11 or -11
Why do we use SADMEP to solve cubic functions?
To "unwrap" or "take apart" the equation to solve for the variable.
a cubic function translated 7 units left
f(x) = (x+7)3
41/2
2
What shape is usually waiting for you inside a Starbucks?
A line
Solve 5x2 + 3 = 128
x = 5 x = -5
If 2∛x-3=1, find x.
What is 2?
a quadratic function reflected across the x axis.
f(x)=-x
x1/2 - 4 = 2
36
What do the ironing board, home security systems, the traffic light, automatic elevator doors, color computer screens, and the light bulb filament all have in common?
black inventors
Solve 2x2 + 9x + 4 = 0
x = -1/2 x = -4
The cubic and the cube root functions are inverses because of this mathematical reason?
What is their exponents are inverses (3 and ⅓)
Name the transformations
vertical stretch by a factor of three
translation left 4 units
translation down two units
sqrt(x+6) = x
x={-2,3}
On this day in History Muhammad Ali knocked out ______________ to win a world title.
Sonny Liston
Melissa walks 𝟑 miles to the house of a friend and returns home on a bike. She averages 𝟒 miles per hour faster when cycling than when walking, and the total time for both trips is two hours. Find her walking speed.
Melissa's walking speed is 2mph
If ½(x-2)3-1=3, what is x?
What is 4?
Draw the graph of the function:


Rewrite using exponents:


Why doesn’t anybody talk to circles?
Because there’s no point.
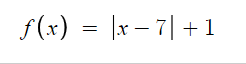
Solve
x={-2,7}
What do you call a Rubik's Cube that insults you?
A Rudebik's Cube.
show the shape of the graph and the transformations using aerobic poses/movements
Ms. Hill arbitrates.
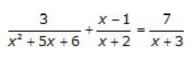
Solve 
125/8 OR 15.625
Why do we call fractional functions "rational"?
ratio; comparison; fraction