Average Rate of Change
Absolute Value Functions
Challenge
Piecewise Functions
Piecewise Graphs
100

Average rate of change is basically the...?

What is slope?

100

What is the parent function?

What f(x) = |x|?

100

70

100

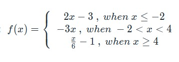
The value of f(0).

What is f(0) = -2?

100

The symbols that indicate a closed dot.

What are less than or equal to and greater than or equal to?

200

The function formula for finding average rate of change is...?

(f(b)-f(a))/(b-a)

200

What is the vertex

f(x) = | x + 1 | -5

.

What is (-1,-5)?

200

Find the domain and range and f(1)

Domain: [-3, ∞)

Range: (- ∞, 3]

f(1) = -6

200

The value of f(-2).

What is f(-2) = 2?

200

What symbol would you draw when you see an arrow?

infinity

300

What is the average rate of change?

What is -32

300

What is the vertex

g(x) = |2x-4|-3

What is (2,-3)

300

What is the slope and the vertex for the function

h(x)= |2x - 6| - 12


vertex is (3, -12) and slope is 2

300

The value of f(3).

What is f(3) = 4?

300

Find Domain and Range.

-3<x<3 and -2<y<4

400

Which section has the greatest average rate of change?

What is Section E

400

What is the vertex

f(x) = -|1/2x+2|-4

 

What is (-4,-4)?

400

second one

400

The value of g(-3).

What is g(-3) = -6?

400

Given the following function, evaluate f(-1)

f(-1) = 3

500

Given the function, determine the average rate of change between 0<x<

f(x) = 2x^2 - 4

What is 6

500

Graph the function:

g(x) = -2|x-3|-2

Compare your graphs

500

A Doctor's fee is based on the length of time (t).Up to 6 minutes costs $50 andOver 6 and up to 15 minutes costs $80 and Over 15 minutes costs $80 plus $5 per minute above 15 minutes. 

the last one

500

The value of g(1).

What is g(1) = undefined?

500

Draw a graph

Compare each others graph
M
e
n
u