If f(x)=1/2x -3, what is f(4)?
-1
Find the slope between (-3,4) and (2,-1).
-1
Find the inverse of f^-1(x) if f(x)=4x-20.
f^-1(x)=(x+20)/4 or f^-1(x)=x/4+5
Which of the following are functions:
a)

b)

c)
f(x)=+-sqrtx
b only
Given f(x)=3sqrt(x-2)+4, describe the trasformations that were applied to the parent function f(x)=sqrtx.
right 2 units, up 4 units, vertical stretch by a factor of 3
a) Evaluate f(-3)
b) Solve f(x)=0
a) -1
b) x= -2
If f(x)=-7x+2, solve f(x)=16.
x=-2
Write the equation of the line graphed below:

Some possibilities:
y= -2(x - 6) + 8
y = -2(x - 7) + 6
y = -2(x - 8) + 4
Find the inverse of h(x) if h(x)=1/3x-9.
f^-1(x)=3x+27
a) Find the domain
b) Find the range
c) State the vertex

a) (-∞ ,∞ )
b) [1,∞ )
c) (3,1)
Sketch a graph of g(x)=1/2|x|+1.

Write the equation of the absolute value graph shown here:

f(x)=2|x-3|-2
Given the graph of f(x) , evaluate f(4) and solve f(x)=4 .

f(4)=9 ; x= 2, -2
Write the equation of the line passing through (2, -3) with an undefined slope.
x = 2
f(x) and g(x) are inverses, and f(x) is represented in the table below. What is g(-3)?

1
Find the domain, range, increasing intervals, and decreasing intervals of the function below:
Domain: [-5,5]
Range: [-3,4]
Increasing: (-4,1)U(3,5)
Decreasing: (-5,-4,)U(1,3)
Given the graph of h(x) below, which graph represents -h(x-2)?

C
Sketch a graph of:

Given the graph of h(x) below, and given g(x)=2x^2-8, what is g(h(3))?

64
Find the x- and y-intercepts, given 2x - 3y = 18.
x-int: (9,0)
y-int: (0,-6)
Given the graph of g(x) below, which of the following would be a point on the graph of g^-1(x)?
a.) (1,2)
b.) (-1,-6)
c.) (-3,-6)
d.) (3,2)

d.) (3,2)
a) Where is f(x)>0?
b) Where is f(x)<0?
c) Where is f(x) increasing?
d) Where is f(x) decreasing?
a) (-∞ ,-3)U(-3,-1)U(4,∞ )
b) (-1,4)
c) (-3,-2)U(1,4)U(4,∞ )
d) (-∞ ,-3)U(-2,1)
Given the table for f(x) below, make a table for g(x)=3f(x-6).

Points: (1,-6), (3,3), (5,9), (7,12), (11,0)
Write the equation of g(x) as a piecewise function, and then as an absolute value function.

piecewise function:
g(x) = {1(x-4)+3, x<=4 ; -1(x-4)+3, x>4}
absolute value:
g(x)=-|x-4|+3
Given f(x)=9x+3 and g(x)=3x-7, find f(g(x)).
f(g(x))=27x-60
If the line passes through the point (x,4), find the value of x.
x = -4 2/3
If f(x) and g(x) are inverses, complete the table for each function.

f(x): (-5,3), (-2,8), (4,5), (7,10)
g(x): (3,-5), (8,-2), (5,4), (10,7)
Sketch a graph that is:
-increasing on (-∞,-5)
- f(-3)=4
-zero slope on (-1,3)
-decreasing on (3,5)
-f(5) is undefined
Answers will vary.
Given t(x)=1/2(x+4)^2-5:
a.) Name the parent function and its equation
b.) Describe the transformations
c.) Sketch a graph of the transformed function
a.) Quadratic equation,
t(x)=x^2
b.) Left 4 units, down 5 units, vertically shrink by a factor of 1/2
c.) 
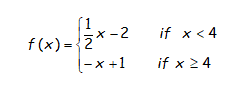
Give that: 
a) Evaluate f(4)
b) Evaluate f(0)
c) Solve f(x) = 0
a) -3
b) -2
c) DNE