Which one is a discrete function?
a.
b. 
b
Identify the slope and y-intercept of the following equation:
y = - (1/2)x - 4
slope = - (1/2) and y-intercept = (0, -4)
What is the name of this special function? 
Absolute value
Which of the following does not describe the graph of the parent function of a linear equation?
A The graph has a positive slope
B The graph is a line crossing the origin
C The graph has a zero slope
D The domain and range are all real numbers
C
True or False: Perpendicular lines have reciprocal slopes.
False
Which ones are not a function? Select all that apply.
a.
b. 
c.
d. 
a, c
Write the following equation in standard form:
x +2 = (1/5)y
5x - y = -10
What is the Domain and Range for the following Graph?

Domain: All Real Numbers
Range:
y>=-2
The function f(x)=x is graphed on a coordinate plane. The graph of new line is formed by changing the slope to 4 and y intercept to -7. Which statement is true?
F The graph of the new line is steeper than the original line, and the y intercept is translated down
G The graph of the new line is less steep than the original line, and the y intercept is translated up
H The graph of the new line is steeper than the original line, and the y intercept is translated up
J The graph of the new line is less steep than the original line, and the y intercept is translated down
F
Identify the following pair of lines as parallel, perpendicular, same, or neither.
y = -2x + 4
y = 1/2x - 2
perpendicular
If f(x)=2x-4, evaluate f(-1).
-6
Given points (2, 4) and (-3, 5), write the equation of the line in slope-intercept form.
y = - (1/5)x + 22/5
Evaluate the following piecewise function at the indicated values.
f(x)= 8x+3, if x>2
f(x)=(1/2)x-1, if x≤2
Find f(2)
0
Graph the linear inequality:
y<-5/4x
Which equation represents a line that is perpendicular to 2x+3y=6?
A. -3x-2y=6
B 3x-3y=-6
C. 3x-2y=-6
D. 3x+2y=-6
C
If g(x)= - x^2 + 3x, evaluate g(2).
2
Given the points (4, 2) and (12, -3), write the equation of the line in point-slope form.
y - 2 = - 5/8x (x - 4) OR
y + 3 = - 5/8x (x - 12)
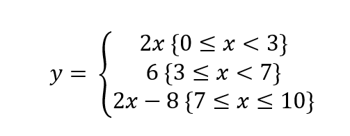
What is the domain of this function?

Domain:
0<=x<=10
Graph the linear inequality:
x-2y<=2
Write the equation of the line that is perpendicular to the line 3x - 2y = 12 and goes through the point (2, 0).
(You may use either form).
y - 0 = -2/3x (x - 2) OR
y = -2/3x + 4/3?
If f(x) = 2x, g(x) = x^2...
Evaluate g((f(-3)).
36
Given the points (10, -2) and ( 5, -2), write the equation of the line in point-slope form.
y + 2 = 0
Evaluate the following piecewise function at the indicated values.
f(x)= -x-7, if x≤2
f(x)= 8, if 2<x≤4
f(x)=3/2x+3, if x>4
Find f(-1)
-6
What is the transformation:
f(-x-4)-6
flips over y-axis, right 4 units, down 6 units
Write the equation for a line parallel to the line x = 4 that goes through the point ( -2, 1).
x = -2