Find x:
2x+10=20
x=5
Is the following a function:

No
Describe the slopes of parallel lines
They are the same
Simplify:
sqrt81
9
What is the GCF of 12x and 10x
2x
Use order of operations to simplify:
4+(20*2)-5^2
19
Is the following a function:

Yes
Find the slope of a line perpendicular to
y=4x+7
slope=
-1/4
Simplify:
sqrt(x^2)
x
Factor out the GCF:
4x^2+12x
4x(x+3)
Find the slope of the line between the points (4, 10) and (6, 30)
slope=10
Find f(x)+g(x) given
f(x)=2x-12 and g(x)=x^2-1
x^2+2x-13
Solve by graphing:

(4,5)
Simplify:
sqrt(20x^3)
2xsqrt(5x)
What are the coordinates of the vertex of
y=2x^2-8x+7
(2,-1)
If b=10 h=12 use the formula to find the area:
Area=1/2bh
60
Find f(5) given
f(x)=2x^2-10
f(5)=40
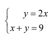
Solve the system using substitution:

x=3 y=6 --> (3,6)
Simplify:
(3x^3y)^2
9x^6y^2
Factor the following:
x^2+3x-40
(x+8)(x-5)
Solve for x:
3(2x-10)=36
x=11
Find f(g(x)) given
f(x)=x^2 and g(x)=x+1
x^2+2x+1
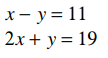
Solve the system using elimination:

(10, -1)
Simplify:
(10x^100)/(5x^55)
2x^45
Solve the following by factoring:
x^2-11x+30=0
x=5 x=6