in data that is normally distributed, 60% of the data falls within 1 standard deviation from the mean
false (its 68%)
-7
Given f(x)=-2(x-3)2+1, what is the vertex?
(3,1)
Factor 9x2-25
(3x-5)(3x+5)
The
sqrt(-16)=-4
False
solve by factoring: 3x2-2x-1
x=1, x=-1/3

Domain:
Range:
Function?
1-1?
D: [-3,2]
R:[-5,2]
Func: YES
1-1: NO
Simplify:
2i(3-4i)(3+5i)
6+58i
Given a system of equations, if the lines are the same, they have infinite solutions?
True
f(x)=3x-1 g(x)=-2x+5 what is f(g(-2))
26
Write the function given the graph:

f(x)=2|x-3|-2
Find the inverse of: f(x)=3x+5
f-1(x)=(x-5)/3
i83=-i
true
Solve by CTS:
x2+8x=4
x=-4+-2sqrt5
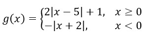
Graph:

then find g(-3)
g(-3)=-1
describe the transformation of
f(x)=|x| to f(x)=-2|x+4|-1
reflected, stretched, left 4 units, down 1 unit
.75 is an irrational number
false (can be written as a fraction)
Solve by QF:
4x2+x+3=0
(1+-isqrt47)/8
Graph: f(x)>x2+2x-1
Vertex:
y-int:
x-ints (exact)
Table of values:
vertex: (-1,-2)
y-int: (0,-1)
xints:
(-1+-sqrt2, 0)
A pharmacist mixes two different strengths of peroxide. If she mixes a 1% with a 9% solution to obtain 60 ml of a 4% solution, how many ml of each type solution does she use?
37.5 and 22.5 mls