What is the superintendents name?
Caty Sutton
This teacher has been at HHS the longest
Mrs. Kent
How old is Mr Pause?
34
Which singer has the highest grossing concert tour ever?
Taylor Swift
Solve:
x^2-6x+10
3+-i
How many elementary schools does the Hartford School district have?
3
Which teacher has a twin sister?
Mrs. Lemieux
Upper Valley Nighthawks
Originally Amazon only sold what products?
Books
Divide:


What year did the last basketball state championship happen?
2012
Which teacher was a hockey goalie at St Michaels College?
Ms. Stevens
Mr Pause lives in which town?
Windsor
What is the only letter in the alphabet that is not in any of the states names?
Q
Solve:
x^4+2x^3-3x^2-8x-4
x=2
x=-2
x=-1
x=-1
Hartford Football last one a state championship in what year?
2016
What teacher taught at a jail?
Mrs. Johnson
Mr Pause once spent time living in which major city?
Hint: Not Boston or NYC, east coast
Washington DC
What year did the iphone come out?
2007
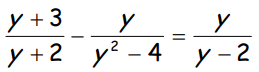
Solve:

y=-3
What famous weatherman went to Hartford High School?
Jim Cantore
This teacher was once a lifeguard at Disney
Mr. Driscoll
What current high school teacher did Mr Pause take social studies with in 8th grade?
Mr Hathorn
What two US states do not observe daylight savings time?
Arizona and Hawaii
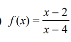
Find the HA, VA, Holes, x-int, yint

HA: y=1
VA: x=4
Holes: None
x-int: (2,0)
y-int: (0,1/2)