What is the domain and range of the graph?

Domain: [-4,3]
Range:[-4,3]
Evaluate:
F(-2) = 3x + 5
f(-2) = -1
Describe the new transformation from the parent function (black) to the dotted transformation.

f(x) + 4
Moves up 4
Evaluate for f(4).
f(4) = 6
Define x-intercepts AND identify what point(s) display the x intercepts on the graph below

x-intercept is where the graph crosses the x-axis
AND
A, C, E
What is the domain and range of the function?

Domain: [-3,9)
Range: [-2,6)
Evaluate f(8) = x2 - x - 6
f(8) = 60
Describe the new transformation from the parent function (black) to the dotted transformation.

f(x+5) + 4
(i.e. Moves 5 left and 4 up )
Evaluate for f(-2)

f(-2) = -3
Define local maximum AND identify what point(s) represents the local max of the graph?

Local max is a coordinate point on the graph where all surrounding points are lower than that point. (i.e. highest point in a general area)
AND
D
What is the domain and range of the following graph?
Domain: [-5,3)
Range: [0,2]
For the graph of the function f(x), there is a point (-5, 8), please find the new point for the given transformation:
-f(x-1) + 5
(-4,-3)
Describe the new transformation from the parent function f(x) (red) to the g(x) (blue) transformation.

g(x) = -(x+1) +3
moved up 3, left 1, & Reflected over the x axis.
Evaluate for f(2) :

f(2) = 3
Define local minimum AND identify what point(s) represent the local minimum of the graph?

Local minimum is a coordinate point on the graph where all surrounding points are higher than that point. (i.e. lowest point in a general area)
AND
B & E
What is the domain and range of the graph?

Domain: (-inf, inf)
Range: (-inf, inf)
For the graph of the function f(x), there is a point (-5, 8), please find the new point for the given transformation:
-3f(-x) + 2
(5,-22)
Describe the new transformation from the parent function (black) to the dotted transformation.

f(1/4x)
Goes up slower / Stretched horizontally
multiplied by a number lower than 1 higher than zero.
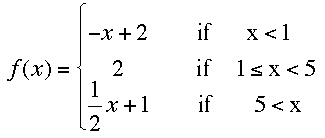
Evaluate for f(7)
f(7) = 9/2 or 4.5
Define asymptote and identify what is the asymptote of this function? 
asymptote is a value that the graph will continue towards but never reach.
AND
There is no asymptote for this graph.
What is the domain and range?

Domain: (-5, 1]
Range: [-1,15]
For the graph of the function f(x), there is a point (0, 0), please find the new point for the given transformation:
-f(-x + 2) - 3
(-2,-3)
What is the parent function of the following graph & what is the function of the new graph transformed across the coordinate plane?

Parent function: F(x) = sqrt (x)
Transformed function: F(x) = sqrt (x+1) - 3
Evaluate f(1.5):
f(1.5) = 0
DEFINE Domain AND
What is the domain of this function? 
Domain is the set of all x coordinates in a function
AND
Domain - All real numbers