Linear Equations
Graphs & Functions
Exponents & Polynomials
Quadratic Functions
Rational Expressions
100

What is v is less than or equal to -3?

100

These are the x- and y- intercepts of the line 

4x - y = 8.

What are 2 (x-intercept) and -8 (y-intercept)?

100

The Greek God of Music?

Who is Apollo?

100
The ordered pair of the maximum of the graph of 

g(x) = -2x2 - 12x - 22.

What is (-3, -4)?

100

The solution(s) to the following equation:

What is 11/2?

200

This singer has an album titled 1989.

Who is Taylor Swift?

200

This is the equation of the line passing through the points (-2,1) and (4,3) in y=mx+b form.

What is y=(1/3)x + (5/3)?

200

This is 21y2 + y - 2 when it's written in factored form.

What is (3y + 1)(7y - 2)?

200

The height of a basketball hoop, in feet.

What is 10 ft?

200

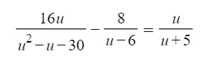
The solution(s) to the equation:

What are 4 or 10?

300

The price of an item has dropped to $9.69 today. Yesterday's price was $9.80. This is the percent decrease rounded to the nearest tenth of a percent.

What is 1.1%?

300

He is the Poltergeist in the Harry Potter series.

Who is Peeves?

300

The expression you get when you rewrite the following without parentheses and simplify it:

(4v - x)2

What is 16v2 - 8vx + x?

300

The quadratic equation whose roots are -3 and 3, and whose leading coefficient is 2.

What is 2x2 - 18?

300

A person who studies weather.

What is a meteorologist?

400

Maya's fish tank has 16 l of water in it. She plans to add 5 l per minute until the tank has at least 66 l. These are the possible numbers of minutes Maya could add water.

What are 10 or more minutes?

400

This is the equation for a parabola that is the same as the graph of y = x2, but shifted 1 unit to the left and 5 units up.

What is y = (x + 1)2 + 5?
400

This is the expression you get after the following expression has been simplified completely: 

What is (7y4)/4?

400

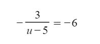
The solution(s) to the equation: 

5y2 = 7y + 6

What are -3/5 or 2?

400

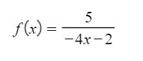
The equations of the vertical and horizontal asymptotes of the function: 

What are x = -1/2 and y = 0?

M
e
n
u