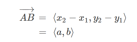
A vector
What is
determined by the magnitude or length of the line as well as direction
Three possible oblique triangle problem situations:
what is
* ASA( angle-side-angle)
*AAS (angle-angle-side)
*SSA (side-side-angle)
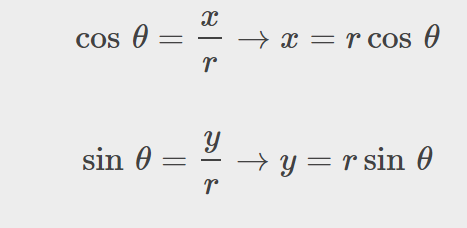
The Polar coordinates are labeled
What is (r,θ)
Complex number
What is a+bi
Describe motion and direction
What is parametric equation
⟨a,b⟩〈 a,b 〉
What is standard position of vector
The law of sines
What is

To convert polar coordinates (r, θ) to rectangular coordinates (x, y)

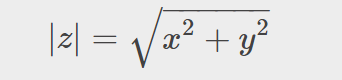
The absolute value of z is defined as so
What is 
In the parametric equation, t =
What is Time
Position vector is found by calculating this formula

Area of triangle
a=5,c=6,β= 35°
8.6sq2
polar coordinates (3,π/2)as rectangular coordinates.
What is (0,3).
the absolute value of z=√5−i.
| z |=
√6
Eliminate parameter t and write in the cartesian equation
{x(t)=5−t
y(t)=8−2t
y=−2+2x
Given u=⟨3,−2⟩=〈 3,−2 〉
v=⟨−1,4⟩,=〈 −1,4 〉
new vector w = 3u + 2v
What is w=⟨7,2⟩.
In Heron's formula, S represents
What is semiperimeter of the triangle
the polar equation r=2sec θ to a rectangular equation,
What is x=2
z=x+yi in polar form is
What is r(cos θ+isin θ)
x(t)=4log(t)
y(t)=3+2t
x=4log((y−3)/2)
The magnitude of position vector 〈 2,3 〉
What is
√13
Use law of Cosines
a=14, b=13, c=20; a=14, b=13, c=20; find angle C.
What is 95.5 degrees
The function of this graph is

What is
r2=10sin(2θ)
the polar form of −4+4i.
42–√cis(3π/4).
If the parametric equations x(t)=t2 and y(t)=6−3t have the graph of a horizontal parabola opening to the right, what would change the direction of the curve?
Take the opposite of the x(t) equation.
initial point P1=(−1,3) and terminal point P2=(2,7) write the vector v in terms of i and j.
What is =3i+4j
Find the area of a triangular land measuring 30 feet on one side and 42 feet on another; included angle measures 132°. Round to the nearest whole square foot.
What is 468 ft2
Cartesian equation x2+y2=9 in polar form.
What is r=3
polar form of z=12(cos(π/6)+isin(π/6)) to rectangular
What is 6√3+6i.
given parametric equations as a Cartesian equation: x(t)=t3 and y(t)=t6.
What is
y=x2