Triethylamine. Tell my degree?
Three.
The six-membered cyclic structure of glucose is called _______ structure (a– or b–), in analogy with pyran.
pyranose
I am dimethyl amine and I am the strongest _____ in aq. solution among the methylamine family.
Base
The shape in which a long polypeptide chain can exist.
Secondary structure of proteins
For reducing an aryl nitro compound to an amine, LiAlH4 in ether.
Bad
On hydrolysis, I give two molecules of only glucose.
Maltose
The source of nitrogen in Gabriel synthesis of amines is ______
Potassium phthalimide
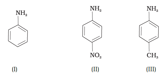
The correct increasing order of basic strength for the following compounds is
_________.

II < I < III
In order to prepare a 1° amine from an alkyl halide with simultaneous addition of one CH2 group in the carbon chain, the reagent used as the source of nitrogen is ___________.
Potassium cyanide, KCN
Effect of acetylation of —NH2 group of aniline for its activating effect.
Bad
The particular stereoisomer of a compound with respect to configuration of some other compound, configuration of which is known. In the case of carbohydrates, this refers to their relationship with a particular isomer of ________.
Glyceraldehyde
Amongst the given set of reactants, the most appropriate for preparing 2° amine is _____.
(i) 2° R—Br + NH3
(ii) 2° R—Br + NaCN followed by H2/Pt
(iii) 1° R—NH2 + RCHO followed by H2/Pt
(iv) 1° R—Br (2 mol) + potassium phthalimide followed by H3O+/heat
(iii) 1° R—NH2 + RCHO followed by H2/Pt
Carbohydrates are used as storage molecules as starch in plants and _______ in animals.
glycogen
The structure resembles the pleated folds of drapery and therefore is known as ______.
beta-pleated sheet
For decreased fragility of RBCs and muscular weakness, Vitamin E.
Good.
I convert 2-phenylpropanamide into 1- phenylethanamine in Hoffmann Bromamide Degradation.
NaOH/Br2
A mixture of 2-bromoaniline and 4-bromoaniline is formed from aniline.
The reaction of aniline with bromine in a non-polar solvent such as CS2.
I help make amides with a primary amine and also give out water when I self-combine.
Acid anhydrides.
The gas evolved when methylamine reacts with nitrous acid is __________.
Nitrogen
Hyperthyroidism is largely being controlled by adding sodium iodide to commercial table salt (“Iodised” salt).
Bad.

N, N-Dimethylbenzenamine
Detection and distinction of primary, secondary, and tertiary amines in a given sample by a single reagent.
Hinsberg reagent (Benzene sulphonylchloride)
Vitamin K
Decreased blood clotting time
(polynucleotide with 100 residues / 100) - phosphate = ________
Nucleoside
The fourth base is thymine in DNA and in RNA.
Bad.