What are supplementary angles?
Angles that add up to 180 degrees.
What is the sum of the interior angles of a triangle?
1800
What is the formula for the Pythagorean Theorem?
a2+b2=c2
What is the formula to find the interior angle sum of any polygon?
(n-2)180
What is the equation showing the relationship between these two angles? What does x equal?
3x + 16 = 5x - 54
x = 35
What are vertical angles?
Angles that are congruent and share the same vertex.
Two interior angles in a triangle are 430 and 500. What is the measure of the third angle?
870
A triangle has leg lengths of 3 and 4, what is the length of the hypotenuse?
5
The measure of each interior angle in a hexagon?
1200
Solve and show your work.

![]()
What are corresponding angles?
Angles that are on the same side of the transversal, are congruent and are at the same location.
Find the measure of the exterior angle of a triangle if the two remote interior angles are <1=76° and <2=34°.
1100
A triangle has leg lengths of 12 and 18. What is the length of the hypotenuse? Round to the nearest tenth.
21.6
Find the sum of the interior angles of a regular octagon.
10800
What is the equation showing the relationship between these two angles? Solve for x.

5x + 10 + 2x - 5 = 180
7x + 5 = 180
7x = 175
x = 25
What are alternate interior angles?
Angles that are congruent, are inside the parallel lines and are on opposite sides of the transversal.
The measures of the angles of triangle RST are in the ratio of 2:5:11. What are the measures of the angles?
200, 500, and 1100
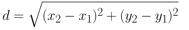
What is the distance formula? Write it out.

The sum of the measures of the exterior angles of a 20-gon.
What is 3600 ?
When a transversal intersects two parallel line two sets of ________ _________ _________ are created on the exterior of the parallel lines.
What is Alternate External Angles?
What are alternate exterior angles?
Angles that are outside the parallel lines, are congruent, and are on opposite sides of the transversal.
Let x represent the measure of angle A. So, <A=x, <B=4x, <C=5x. Find the value of x and the measure of each angle.
x=18
<A=180
<B=720
<C=900
Use the distance formula to find the distance between the coordinate points (3, 6) and (-2, 7). Round to the nearest tenth.
5.1
The measure of one exterior angle of an 11-gon.
32.70
A ferry sets sail from an island located at (6,2) on a map. It's destination is Ferry Landing B at (4,12). How far will the ferry travel is each unit on the grid is 0.5 miles?
5.1 miles