How can you determine if a graph is an Euler Path? How can you determine if a graph is an Euler Circuit?
Path:If there are only 2 ODD DEGREE VERTICES.
Circuit: ALL EVEN DEGREE VERTICES
Hint: Edges or vertices?
A vertex is used ONLY ONCE for Hamiltonian.
What is a vertex?
A point that connects edges together in a graph.
What is 2+2?
5
What is Mr. Nations' middle name?
Douglus
Is the following map an Euler Circuit or Path?
Draw in the correct circuit or path.
Euler Path
True or false:
ALL Hamiltonian circuits are also Hamiltonian paths.
True. All circuits are also considered paths.
How many edges can connect to a vertex?
Infinity :)
What is the meaning of life?
42
What city is Mr. Nations from?
Is the following map an Euler Circuit or Path?
Draw in the correct circuit or path.
Euler Path
Is the following map a Hamiltonian Circuit or Path? Draw in the Circuit or Path.
What is the DEGREE of a vertex?
The number of edges connected to the vertex.
What is a math teachers favorite type of tree?
A Geometry!
What year was Diet Coke created?
1982
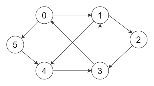
Is the graph below an Euler Path, Circuit, or Neither?
Draw in the correct circuit or path.

Euler Circuit
Use the "Nearest Neighbor" Algorithm to determine the total time and route through each vertex. Start at Vertex A.

AEBCDA = 30
What is the degree of Vertex A?

3
What are 10 things you can always count on?
Your fingers.
What is the only continent that does not have glaciers?
Australia
Find the shortest time through the entire map. Add all of the total times and give the route.
Total time: 45
FINAL JEOPARDY (MUST BE DONE LAST):
Use the SORTED EDGES ALGORITHM to find the quickest Hamiltonian Circuit for the graph.

The edges used, in order, are:
AE, CE, AB, CD, BD
What is the degree of vertex E?

3
Why can't a nose be 12 inches?
Because it would then be a foot!
What is the only even prime number?
2