20 times 20 = 400; therefore, the square root of 400 is 20, make 400 a(n) ______
What is a perfect square?
A prime number's only factors are itself and ___.
What is 1 (one)?
Use a(n) ___ to indicate how many times to multiply a number by itself.
What is an exponent?
A positive integer with an exponent is (always/never/sometimes) positive.
What is ALWAYS?
Any percentage can be written as a fraction with ___ in the denominator.
What is 100?
Name any perfect square between 40 and 50.
What is 49?
The absolute value of any number is always ____.
What is positive?
When dividing a positive number by a negative number, the answer MUST be below ___.
What is 0 (zero)?
The product of an even number and an odd number is always ____.
What is even?
An odd number is never divisible by this integer.
What is 2 (two)?
Always the result of squaring the square root of x.
What is x?
The product of two odd numbers is always ___.
What is odd?
(-4x)3 simplified
What is -64x3?
(-4)3 * (x)3
-64 * x3
When multiplying any number by its reciprocal, the product is ____.
What is 1 (one)?
One of the following is not a factor of 60
2, 3, 5, 6, 8, 10
What is 8?
All the perfect squares less than 30.
What are 1, 4, 9, 16, 25?
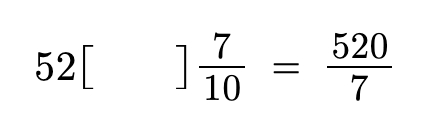
The mathematical operation in the bracket will get this result. 52 [ ] 7/10 = 520/7

What is ÷ / division?
The sum of all prime numbers between 10 and 20.
What is 60?
(11+13+17+19=20)
The simplified version of -|-8|(-x2y2)
What is 8x2y2?
The number from the list that is NOT a multiple of 6.
6, 12, 24, 32, 36, 48
What is 32?
The simplified version of the following expression:
No calculators allowed!
What is 6?

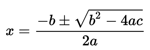
The quadratic formula.
What is 
-7x2(9y3) in its simplified form.
What is -63x2y3?
The solved form of ½ ÷ ⅙
What is 3?
1/2 x 6/1 = 6/2 = 3
The expression from the following list that must be an odd integer if c is any positive integer.

What is 7c?
Proof: 14/7 = 2; 7+7=14; 7(4)=28; 27=128
72=49 or 73=343