Organelo que regula los contenidos dentro de la celula
Membrana Celular
Pequeña molécula energéticamente cargada
Funcion del sistema respiratorio
Itercambio de gases
Los gametos femeninos se forman en
Los ovarios
Tipo de reproducccion donde no existe variedad
Reproduccion Asexual
Organismo que produce su propio alimento
autotrofo
cloroplasto
Almidon
Funcion del sistema excretor es (incluye un ejemplo)
Eliminar desechos
La diferenciacion ocurre despues de

E
Clonar es similar a la reproduccion
asexual
Grupo Control
Los organelos la celula hacen _____________________________ similares a los ____________________________ de un organismo multicelular
funciones
organos
La funcion de las proteinas depende de
Su forma (La cual depende del tipo y orden de los amino acidos)
Organice los siguientes mostrando disminucion de complejidad
organo
organelo
tejido
celula
organismo
Que es cierto del siguiente proceso? (2 enunciados)

Asexual (un progenitor)
Mitosis
Info genetica identica
Antes de la fertilizacion se forman los gametos atraves del proceso de
Meiosis
Grandes hebras enrolladas de material genetico
Cromosomas
Un dano en una enzima dentro de la mitocondria evitaria
Que se libere energia
Cadena de amino acidos cuya forma es escencial para que funcione (= catalizador biologico)
Enzima
Cuando un virus entra, el sistema _____________________ responde creando _______________________ (proteina que destruye patogenos)
Inmune
anticuerpos
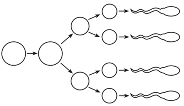
El siguiente diagrama representa y su funcion es de:

Meiosis formar gametos
Celulas que contienen la mitad de informacion genetica
Gametos
sustancias que ayudan a una planta carnivora a digerir un insecto
Catalizador biologico
Nobre dos sustancias escenciales para la comunicacion celular
hormonas y Neurotrasmisores
Las plantas usan la mayoria del dioxido de cabono durante la respiracion celular para
producir glucosa por medio de la fotosintesis
Celula principal del sistema imune (nombre y funcion)
GB: Proteje al cuerpo contra los patogenos
Estos pasos ocurren durante
Division Mitotica
El hecho de que ciertas celuas sean diferentes aunque tengan la misma ADN se debe a
la diferenciacion por estar expuestas a diferentes condiciones a su alrededor
Las celulas guadianas (celulas oclusivas) se cierran en un dia caluroso y seco. Esto es un ejemplo de un mecanismo de
Retroalimentacion