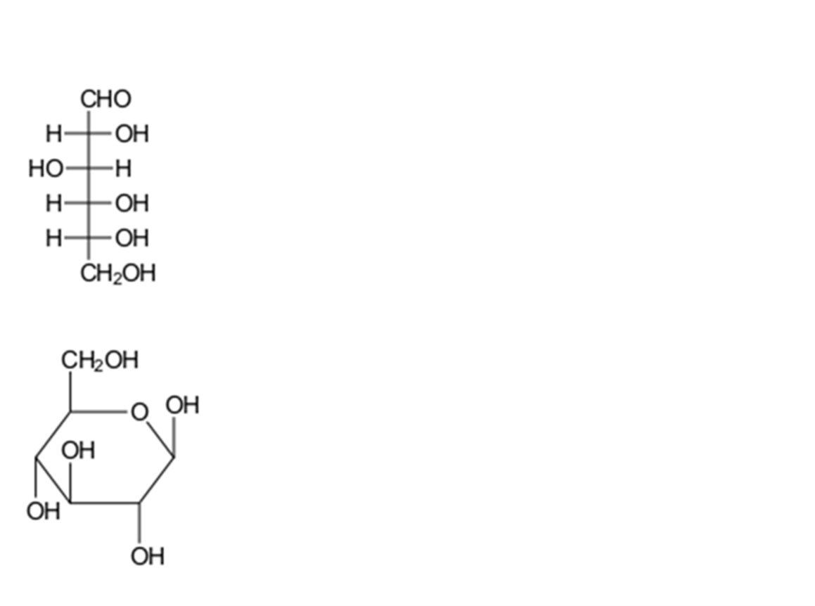
Which common monosaccharide is shown here, often used to make ATP

Glucose
The monomer of a carbohydrate
monosaccharide
Where does digestion begin?
Mouth
Only source of monounsaturated fat that is considered a fruit.
Avocado
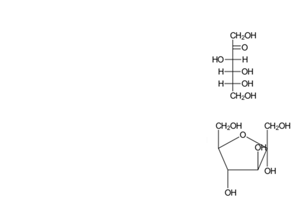
Which molecule is shown below?
Fructose
The polymer of a lipid that comes from animals.
Triglyceride

What enzyme is released by a bacteria in your body that results in ammonia and CO2 bubbles being forms as "shields"?
Which of the following is hydrophobic?
1) Steroids
2) Cellulose
3) Hemoglobin
1) Steroids
Which process is being shown here?
Dehydration Synthesis
A chain of protein monomers
Polypeptide Chain
Which enzyme is found in saliva?
Amylase
Which sugar is also known to battle Pikachu?
Deoxyribose
What molecule is shown below?
ATP
DNA and RNA are an example of this macromolecule
Nucleic Acid
The process of moving food through the body is known as
Peristalsis
A common polysaccharide found in insects is what?
Chitin
What process is the reverse to this process?
Hydrolysis
Three of these combined form a codon
Amino Acid
What bacteria is found in the stomach that has developed two defense mechanisms to survive in stomach acid?
Helicobacter pylori (H. pylori)
What is the proper ratio of chemical elements found in carbohydrates?
1:2:1