What is the net force and direction of motion for the object below?
a. 5 N to the lef
6. The motion of an object is described by the graph below. The object is moving at a _______ speed, and the forces acting on it are _______.

d. constant; unbalanced
11. Hannah just finished building a house of cards that stands four stories high. She is worried that it will fall down.
d. If no unbalanced force acts upon the house of cards, then it will remain standing forever
16. A tire hanging from a tree is at rest. The force of gravity is pulling down on the tire. Another force, called tension, is pulling up on the tire. Tension is the pulling force that is transferred along the length of a string or rope.
If the force of tension is equal to the force of gravity, then what will happen to the tire?
c. The tire will remain at rest
2. After walking across a carpeted floor in socks, Jim brings his finger near a metal doorknob and receives a shock. This demonstrates that
b. Electric forces can act at a distance
7. Which of the following statements is true?
c. Any object with mass exerts a gravitational force on all other objects
12. Jennifer stands on one side of a filing cabinet and pushes with a force of 60 N. If Nathan wants to help Jennifer demonstrate balanced forces, what does he need to do?
d. stand on the opposite side of the cabinet and push with a force of 60 N toward Jennifer
17. What important distinction between mass and weight is illustrated in the diagram below?

c. Mass is the same everywhere in the universe, but weight depends on the force of gravity.
3. A contact force is a force that is exerted by an object when it touches another object. Which of the following is an example of a contact force?
c. A wood block sliding across the top of a desk
8. Henry sets his keys on a wooden table. He then takes a powerful magnet and positions it below the table and the keys. He finds that he is able to drag the keys along the table by moving the magnet. This demonstrates that
b. magnetic forces act at a distance.
13. Which of the following procedures demonstrates repetition?
c. Marco places a toy car at the top of a ramp. He releases the car and measures how long it takes for the car to reach the bottom of the ramp. Then, he returns the car to the top of the ramp, releases the car again, and makes an additional measurement.
18. What is the difference between replication and repetition?
c. Replication occurs when multiple sets of measurements are made during one scientific investigation. Repetition occurs when a scientific investigation is reproduced by another person.
4. The data table below is for the motion of a runner who runs a total distance of 10 meters. What is the average speed of the runner from start to finish?
Time (seconds) Distance (meters)
0 0
1 3
2 6
3 9
4 10
a. 2.5 m/s
9. Janine hits a hockey puck across an ice rink. The distance between the puck and Janine for the first ten seconds after she hits it is graphed below. Judging from the graph, which statements is true?
d. The hockey puck's speed decreased as it moved away from Janine
14. Which of the following graphs shows an object that is not in motion?
A horizontal line represents no motion
19. Which two properties determine the force of gravity between two objects?
d. their masses and the distance between them
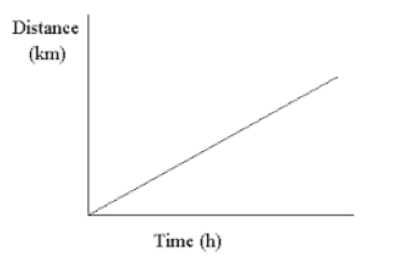
5. Eddy and Grant traveled during the holidays to visit their family members in Atlanta. The distance and driving time are shown in the graph below.

b. They traveled at a fairly constant speed.
10. Which of these statements is true concerning balanced forces acting on a car?
b. Balanced forces will cause no change in the car’s motion.
15. Bryan and Alyssa are playing tug-of-war against Daniel and Maria. Bryan and Alyssa are exerting a combined force of 10 N. Daniel and Maria are exerting 12 N of force
d. an unbalanced force moving everyone in Daniel and Maria's direction
20. Beth drops a feather and a marble from the same place at the same time. She notices that the feather falls to the ground much slower than the marble. Which of the following statements best explains Beth’s observation?
c. Air resistance acts on the feather causing it to fall slower.