What is the inverse of the given function?
y=x^2+7
What is
f^(-1) (x)=√(x-7)
What is the Domain of the given function?

What is All Real Numbers.
State the transformation of the given square root function.

What is Reflection accross the x-axis and shift up 2 units.
Determine whether the given solution is extraneous or a solution of the given function.

What is x=14 is a solution.
Find the inverse of the given function:

What is
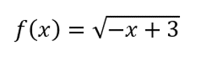
f^(-1) (x)=-x^2+3
What is the Range of the given function?

What is
(-∞,1)
State the transformation of the given exponential function.

What is a shift 3 units to the left.
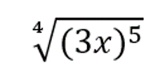
Write the following from exponential form to radical form.

What is 
Determine whether f and g are inverse functions.
f(x)=1/2 x+3
g(x)=2x+3
What is f and g are not inverse functions.
What is the Domain of the given function?

What is
(-∞,-2]
State the transformation of the given function.

What is a reflection across the x-axis and shift 10 units up.
Simplify.

What is 
Determine whether f and g are inverse functions.

g(x)=5x^2
What is the Range of the given function?

What is
[0,∞)
State the transformation of the given square root function:

Shift 3 units to the right and shift 22 units up.
State the asymptotes of the given function:

What is y=5 is the horizontal asymptote.
Find the inverse of the given relation.
F=9/5 C+32
What is
C=5/9(F-32)
What is the Range of the given function:

What is
(-∞,-1)
State the transformations of the given square root function:

Reflection across the x-axis, shift 5 units to the left, and shift 32 units down.
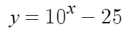
State the asymptote(s) of the given function:

What is y=-25 is the horizontal asymptote.