Vocabulary/
Circumference/Area
Central Angles/Arc Angles/Arc Length
Chords/Inscribed Quads
Tangents/Equations of Circles
100

Circumference is the _____________ of a circle. 

Perimeter

100

A central angle is angle with a vertex at the __________ of the circle and its two sides are _______.

center; radii 

100

Solve for x. 

13

100

A tangent line intersects a circle at ______ point, called the _______________________.

one; point of tangency 

200

Find the area and circumference of the circle. 

A = 63.62 mm squared

C = 9pi or 28.27 mm 

200

Find the length of the bolded arc. 

4.58 inches

200

Find the measure of arc RS

71 degrees 

200

Find x.

14

300

Find the diameter of a circle with an area of 415. 48 square inches. 

23 inches 

300

Find x

6

300

Find x

13

300

Is Segment RQ tangent to the circle? 

Yes 

400

Name a minor arc, major arc, semicircle, diameter, and radius 

Answers will vary. 

400

Solve for x. 

21

400

Find VW

24

400

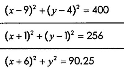
Find the center and radius of each circle given its equation. 

(9,4) 20

(-1, 1) 16

(-6, 0) 9.5 

500

Name:

Tangent

Secant

Point of Tangency

Inscribed Angle

Central Angle

Answers will vary.

500

If WS is 4.5 inches, find the length of arc TS.

7.62 inches 

500

214 degrees 

500

Write an equation of circle given this information. It must be simplified.

(x+2)^2+(y+11)^2=81

(x+4)^2+y^2=47

M
e
n
u