There is a rectangular picture frame that has a width of 2 ft and length of 3 ft. A similar rectangular picture frame has a width of 8 ft. What is the length?
12 ft
The 2 angles are ____________ angles and this is the measure of angle X.
What is Complementary and 60 degrees.
What is the RATIO used to enlarge or reduce similar figures called?
Scale
What is the measurement of angle X.

Angle x = 56 degrees.
What is the relationship between two opposite angles called?
Vertical Angles.
Find the missing measurements of x, y, and z.

angle x = 108 degrees, angle y = 72 degrees, and angle = 18 degrees
What is the relationship of two angles that sum to 180 degrees called?
Supplementary angles.
A blueprint drawing of a room has a scale of 1 cm: 4 ft. If the actual room has dimensions 36 ft by 20 ft, what are the dimensions of the blueprint?
9cm by 5cm



What is 72 degrees.

What is the relationship between two angles that sum to 90 degrees called?
Complementary angles.
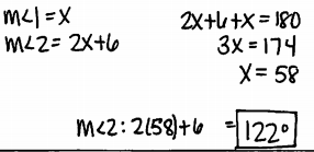
Hint: a linear pair creates a straight line or angle.
What is a 122 degrees.

What does the Triangle Inequality Theorem state?
the sum of the smaller two sides of a triangle must be greater than the longest side.