Find the integer:
73
343
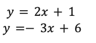
By equating the values of y, find the solution:

x = 1 , y = 3
Determine the perimeter:
9.2 m
Find the circumference:

175.89 ft
Find the surface area:

50.24 m2
Find the integer:

-3
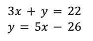
Using substitution, find the solution: 
x = 6 , y = 4
Determine the perimeter:
13 m
Find the circumference:

56.52 yd
Find the surface area:

650.608 cm2
Write as a product of prime factors in index form!
36
22 x 32
Determine whether the following is a solution:

Not a solution!
Find the area:

42 m2
Find the perimeter of the sector:

9.442 yd
Find the volume:

13816 mi2
Write the following in the form 4n :
256
44
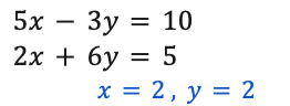
Using elimination, find the solution:

y = 3 , x = 2
Determine the area:

24 cm2
Find the area:

154 cm2
Find the volume:

1436 cm3
Simplify using index laws:

x10
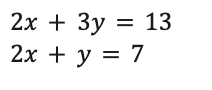
Using any method of your choice, find the solution:


x = 0 , y = 6
Determine the area of the shaded region:

32 cm2
Find the area of the sector:

26.17 m2
Determine the volume:
680 m3