This "definitive" data structure in Python is the basis for many other data structures like DataFrames due to it's key-value indexing
What is Dictionary?
The efficiency of a computer algorithm is often measured by this metric
What is Big-O?
In ALL types of distributions, this variable always sits at the 50th percentile.
What is median? (NOT mean)
Despite it's simplicity, this edible type of data chart is hated by many experts due to how easy it is to convey the wrong information.
What is pie chart?
Python and Java would be USELESS without this important command that can provide so many powerful classes (Bonus points if you can name a similar command from other languages AND identify which language that command is used in)
(Bonus Points: #include' for C/C++, library() for R)
This "charmer" of a programming language is known for it's easy syntax and ubiquity
What is Python?
This chip designer makes both VERY multithreaded CPUs AND relatively cost-efficient GPUs.
What is AMD (Advanced Micro-Devices?)
Two-Parter Question:
Approximately THIS percentage of THIS "ringer" of distribution lies within one standard deviation away from the mean
What is 68% of a bell curve?
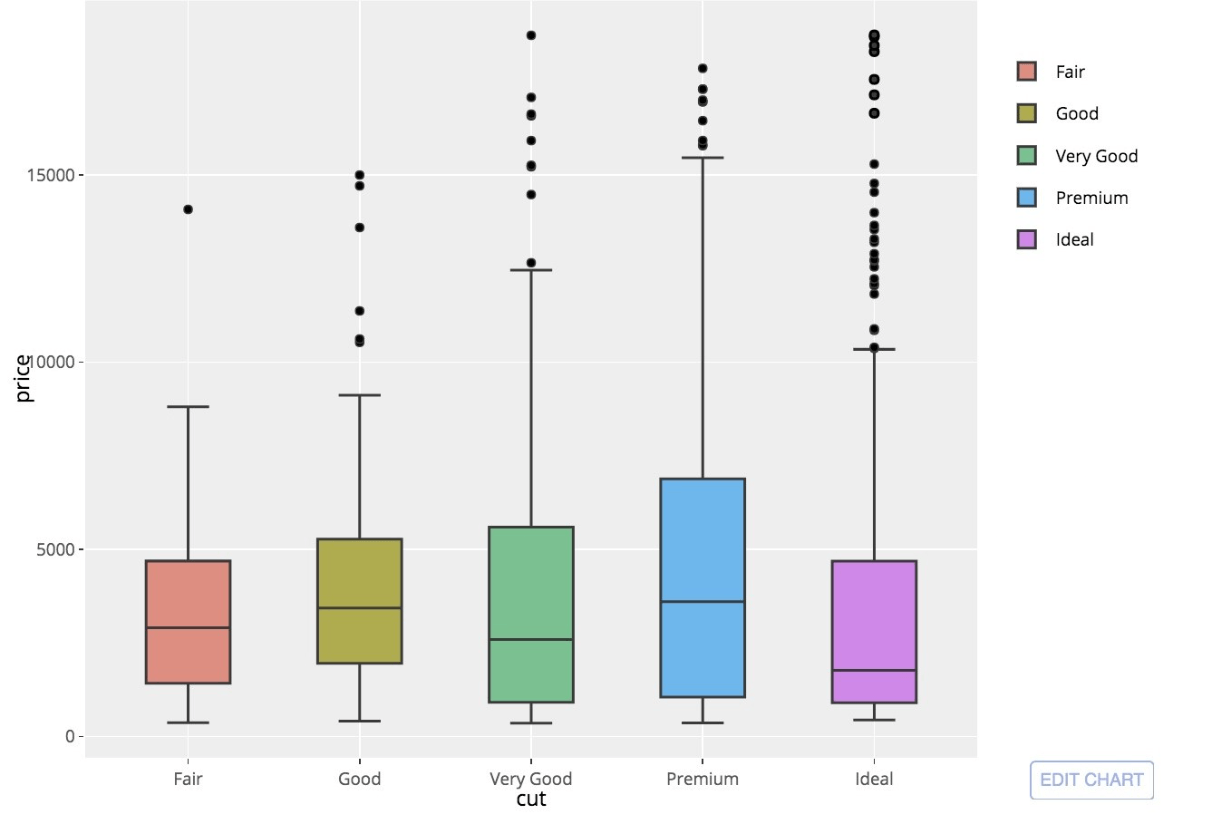
A very easy way to spot these special data points is to use a boxplot and find them sitting way outside of the boxes themselves.

What are outliers?
You can take a column from a DataFrame (think 2D array) and form a separate Series using this technique?
What is slicing?
This useful analytics library shares its name with a type of bear. Get ready to feel the THUNDER!
What is pandas?
Bitcoin, the Internet, and Big Data could not become what it is today without this type of processing that brings computers together via networks?
What is distributed?
In order for machine learning algorithms to optimize it's results, they need to "go down the hill" using this method
What is gradient descent?
If you wanted to know if two variables are related, you would plot your data and try to make this line to see if indeed things line up.
What is a regression line?
Many fundamental data structures like stacks or trees consists of these smaller data structures that connect and "point" to one another.
What are Nodes?
This programming environment is named after a planet and a god
What is Jupyter?
In a data context, this type of analysis finds out if data plots belong in groups of similar data points. In a hardware context, this type of computing links different computers together into one system, often staking these computers in racks.
What are clusters?
During tests, we use process of elimination to remove any answers that just won't work, keeping the most relevant answers. Neural networks can do something similar with their data with this type of data transformation?
What is dimensionality reduction?
Find the common denominator between these three things:
1. A part of the human eye
2. Intel Graphics
3. A dataset used by many data science students
What is Iris?
This two-word command is used to sort the values of an SQL table according to a given condition. It MUST be paired with another aggregate function!
What is GROUP BY? (NOT WHERE)
This red-hot machine learning library has been developed in large part by Meta, aka FaceBook, not Google.
What is Torch?
Google and NVIDIA have created their own versions of this type of ASIC (computer chip) to run machine learning programs more quickly than GPUs
What are Tensor chips?
CNNs utilize these to blur or enhance an image. A key part of the Linux operating system is also one of these?
What is kernel?
Florence Nightingale created the following data visual, and with it created this new field of work.

What is modern nursing?
You can create this data structure using the following data sources:
.csv files
.xlsx files
dictionaries
SQL
JSON
HTML files!
What are DataFrames?