¿Cuál es la derivada de f(x)=5x+3 ?
¿Qué es 5?
¿Cuál es la derivada de 
¿Qué es y'= 
¿Cuál es la derivada de la función
f(x)= (sqrtx +x)/x^2
¿Qué es
f'(x)=-3/(2sqrtx^5)-1/x^2?
¿Cuál es el valor faltante en la imagen

¿Qué es 12?

¿Cuál es la derivada de
f(x)=6 sen x+ 6 cos x ?
¿Qué es
¿Cuál es la derivada de f(x)= x3?
¿Qué es 3x2?
¿Cuánto es la mitad de dos más dos?
¿Qué es 3?
¿Cuál es la derivada de la función
f(x)=x^3-4x^2+3x/4 -2/x^2
¿Qué es f'(x)=
f'(x)=3x^2-8x+3/4+4/x^3
¿Cuál es la derivada de
f(x)=e^x-lne^-x
¿Qué es
¿Cuál es la derivada de
f(X)=(1+ tan^2 x)/sec x ?
¿Qué es
f'(x)=sec x tan x
¿Cuál es la derivada de 5-4x+3x2?
¿Qué es -4+6x?
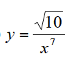
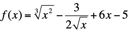
¿Cuál es la derivada de 
?
¿Qué es f´(x)=
?
¿Qué numero tiene el mismo número de letras que el valor que expresa?
¿Qué es el 5?
¿Cuál es la derivada de
f(x)=e+2^x. ?
¿Qué es
f'(x)= 2^x ln 2
¿Cuál es la derivada de
f(x)= (sec x+ sen x)/tan x ?
¿Qué es
f'(x)=-cscxcotx+secxtanx
¿Cuál es el número más ignorante y porqué?
¿Que es el uno, porque uno nunca sabe?
¿Cuál es la derivada de f(x)=
f(x)= 2/(3*x^2)
¿Qué es f'(x)=
f'(x)=-4/(3x^3)
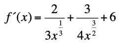
¿Cuál es la derivada de
?
¿Qué es la derivada de
?
¿Cuál es la derivada de la función
f(t)=e^t-lnt^2
¿Qué es
f'(t)=e^t-2/t
¿Cuál era el nombre del primer presidente de México?
¿Qué es José Miguel Ramón Adauco Fernandez y Félix?
¿Cuál es la derivada de f(x)= ln ex?
¿Qué es 1?
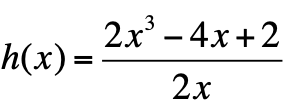
¿Cuál es la derivada de
f(x)=(2x^3-3x^2+4x-5)/x^2 ?
¿Què es
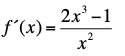
¿Cuál es la derivada de
?
¿Qué es
?
¿Cuál es la derivada de
f(x)=3e^x-sqrt x+lnx?
¿Qué es
f'(x)=3e^x-1/(2sqrt x)+1/x?
¿Cuál es la derivada de
f(x)=(1-cos^2 x)/ (sen x) ?
¿Qué es
f'(x)=cos x