Complete the ratio table:

Apples: 9, 36 , 108
Pears: 5, 20, 60
Find the value of x:

x = 16
Solve:
6m = 27
m = 4.5
Find the value:
|-15|+|5|
20
What is the probability of spinning yellow?

1/4, 25%, 0.25
Find a set of three different whole numbers whose sum equals their product.

Answers may vary.
1+2+3 = (1)(2)(3)
A pet store sold 15 snails for every 20 frogs. Write the ratio of snails to frogs in three ways.
3/4, 3:4, 3\ "to"\ 4
Find the value of x:

x = 37
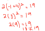
Is the solution to the following -1?
2(x+4)^2 = 19
No

Your friend said that -6 + 8 = 14. Explain how to find the correct answer (without a calculator).
-6 + 8 is the same as 8 - 6
Find the median of the following data set:

85
If:
1 = 3
2 = 3
3 = 5
4 = 4
5 = 4
6 = ?
3
31 is 62% of what number?
50
Find the area:

3000 square inches
Solve:
2(y+2)=5(y-4)
y=8
The following sign rules represent which of the following? (choose all that apply):
a. Multiplication
b. Addition
c. Division
d. Subtraction
+ + = +
- - = +
+ - = -
Multiplication and Division
You are packing for a trip. You take 4 shirts (red, blue, green, and yellow) and three pairs of pants (jeans, leggings, shorts). How many possible combinations of one shirt and one pair of pants are there?
12
Using only addition and multiplication, combine the single digit numbers 1, 2, 3, 4, 5, 6, 7, 8, 9 so they total 100. The numbers must stay in the same order.
1 + 2 + 3 + 4 + 5 + 6 + 7 + 8 x 9
Coaches are needed for a soccer summer camp. Two coaches are needed for ever 15 campers. There are 195 campers signed up. How many coaches are needed?
26 coaches
Find the area of the shaded region (round to the nearest hundredth if needed):

50.27 square meters or
16pi
Simplify the following:
(5y^3-y^2+1)-(2y^3+3y^2-6)
3y^3-4y^2+7
Kaylin bought 2.75 pounds of carrots for $0.84 per pound. She also bought 1.5 pounds of bananas for $0.70 per pound. She handed the cashier $5.00. How much change did she receive?
$1.64
Create an example of a representative sample.
Answers will vary (must include a way to randomize it and ensure that everyone has the chance to participate)
What is the missing number?
96240?
4812
6
You want to buy a gaming system that was originally $380. It is on sale now for 25% off, and then you will be charged 8% sales tax on the sale price. How much will you pay now for the gaming system?
$307.80
Find the volume:

693 cubic feet
Solve:
16x-10y=10
-8x-6y=6
(0, -1)
Find the value of the following expression:
10+[2(5-1)^2]/[4-2]
26
Find the Five Number Summary:


How many triangles can be formed from the following?

23