Exponetial Expressions & Equations
System of Equations
Random Questions
Build Linear Equations
Definitions
100

Simplify the Expression?

 


What is   
100
An online shopping site sells sweat shirts and t-shirths. It sells each sweatshirt for $30.50 and each t-shirt for $18.25. If the online site made a total of $981.25 in sales last week. Write a system of equation to to determine the number of sweatshirts sold, S, and T-shirts sold, T ?
What is the system  
100

Determine the Domain and Range ?

What is a Range of  0 ft to 8 ft  & Domain of  0 ft to 30 ft
100

Build this Linear Equation

Slope = -3/5   &        Y-Intercept = -14

What is 

Y = -(3/5)x - 14

100
Define Domain and Range and the two Variables that represents each.
What is  

Domain: The identification of all your X-Values & Variable X.

Range: The identification of all your Y-Values & variable Y. 

200

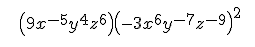
The expression equivalent to this expression?

What is  
200
The solution to this system of equations?  

3 + x = y

-3x + 3y = 4

Whats is coordinate (4, 7) / consistent and independent
200


Is this Appreciation or Depreciation and determine the true percentage Rate per hour?

What is Depreciation and 12% per hour
200

  The linear Equation of this X & Y table?

 
What is 

y = 2x + 7

200
Define Appreciation?
What is the value of something that increases over time.
300


Write the expression that reveals the True/Correct Percentage Rate of Decay per year?

What is  a decay rate of 7.3% per year  or  (100%-7.3%)
300
The 3 Methods and 3 Solutions to solving a system of equations?
What is  

1. Graphing

2. Substitution

3. Elimination 

4. One Solution

5. No Solution

6. Infinitely Many solutions

300

Determine the Rate of percentage that each antibiotic A and B decreases from the population of bacteria per hour? 

What is  5 % Antibiotic-A   &  7 % Antibiotic-B
300

The linear equation Between the Coordinates?

(0, 140) , (5, 120) , (10, 100)

What is

Y = -4x + 140

300
Define Bivariate Data

what is   data involving or depending on two variables or data represented on a scatter plot.

400


Write an inequality that can be used to determine the number of hours after the gates open, X, that the number of fans at the ballpark will be greater than 15,000?

What is the inequality 
400
The 3 Classifications of system of equations?
What is 

1. Consitent and Independent

2. Consistent and Dependent

3. Inconsistent

400
Name 3 out of the 4 expressions of Rational-Numbers or  3 ways Rational-numbers can be Expressed as?


What is as a

1. Whole Number 

2. Integers

3. Terminating Decimals

4. Repeating Decimals

400

Transform the Standard Equation into Slope-Intercept form.

-(4/5)x - (4/5)y = 8

What is 

y = -x - 10

400
Define Radicand 
What is the Number underneath the radical symbol.
500
What is   6 years
500
Classify the solution of this system?

2X + 2y = 6

X - Y = 7

What is Not True / No Solution / Inconsistent
500
Dealing with Laws of exponents, the term for using more than one exponential rule for one problem?
What is Composite 
500

Build the linear equation from this x and y table.

What is 

y = (1/2)x + 3

500

Define residual/s

 What is the difference between a value measured in an experiment and the theoretical or true value.

M
e
n
u