How would you represent these base 10 blocks as a decimal?

.2 or .20
Name these two equivalent fractions.

3/4 and 6/8
The numbers you see represent a part of a meter stick. What unit of measurement is shown by the numbers in the picture?

centimeters (cm)
1 yard equals how many feet?
3 feet
Represent the longs below as a decimal.

.2 or .20
To represent the decimal .36 using base ten blocks, how many longs and how many cubes would you need?
3 longs
6 cubes
Write the fraction that is equivalent to this decimal: .5
5/10 or 50/100
Which fraction on the number line below is equal to 1/2?

5/10
15 is how many times greater than 5?
3 [Look for the fact triangle's missing number]
Represent the shaded area as a decimal.

.34
Represent .75 using base 10 blocks.
7 longs
5 cubes
Represent this picture as a fraction and as a decimal.

3/10 or 30/100
.3 or .30
How would you write the place where the dot is as a fraction?

30/100 or 3/10
Which of the polygons below have at least 2 right angles?

a, b, and d
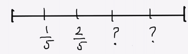
What two fractions come next on the number line?

3/5 and 4/5
Which is greater? .8 or .82?
.82
Remember I said if you don't have the same amount of place value positions in the two decimals, just add a 0 (zero) to the end of the one digit decimal. Then compare.
So... .80 compared to .82 Which is greater?
True or False. Three cubes are represented as .3

False. It's .03
Name two fractions that are equivalent.


1/5 and 2/10
2/5 and 4/10
3/5 and 6/10
4/5 and 8/10
When two lines intersect and create right angles, it is called ____________________ lines.
perpendicular
What fraction(s) below is equivalent to 2/5?
a. 3/10
b. 4/10
c. 4/8
d. 6/15
b. and d.
Marcie and her two friends wanted to share 4 pieces of gum. How can they figure out how much of the gum each friend will get? Choose any answers that would give each girl an equal amount of gum.
a. Split each piece of gum into thirds.
b. Give each friend one whole piece, and divide the last piece into thirds.
c. Give each girl half a piece and divide the rest into fourths.
d. Give each girl one and divide the last piece into sixths.
a, b, and d
Find an equivalent fraction for 3/4.
Your teacher will tell you if you're right.
This number line is divided into intervals (or sections). If you were to label each place on the line, what would the denominator be?

fourths
The 9 in 9,000 is ___________ times greater than the 9 in 900.
Look at it this way: 9,000
900
10
How many pieces of this circle would be equal to 1/2. Give your answer in the form of a fraction.

3/6