Integer Exponents
Scientific Notation
Multiplication Properties
Division Properties
100
Evaluate: 8^0
1
100
Write in scientific notation: 40,080,000
4.008 x 10^7
100
n^6 * n^2
n^8
100
3^9/3^6
3^3
200
Evaluate: 3^-4
1/81
200
Write in scientific notation: 235,000
2.35 x 10^5
200
a^3 * a^6 * a^-5
a^4
200

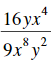
2x*8y*4/x*3y*3

x^5y^1
300
Evaluate: -7^-2
-1/49
300
Write in scientific notation: 0.0000006.
6 x 10^-7
300
(x^5)^4
x^20
300
(2/3)^4
(16/81)
400
Simplify: 4(x^-6)(y^-2)
4/x^6y^2
400
Write 1 x 10^13 in standard form
10,000,000,000,000
400
(5w^8)^2
25w^16
400
(a^4/b^2)^3
a^12/b^6
500
Simplify: 3w^-5/x^-6
3x^6/w^5
500
Write 1.25 x 10^-7 in standard form
0.000000125
500
500

Simplify

2^2 = 4

M
e
n
u