What is the name and definition of Newton's First Law of Motion
Inertia- An object in motion stays in motion unless acted on by an outside force.
What is of Newton's Second Law of Motion?
Force, mass, and acceleration (F=ma)
What is the name and definition of Newton's Third Law of motion?
Action/Reaction- For every action, there is an equal and opposite reaction.
What is the formula to calculate the speed of an object?
Speed=distance/time
What is the Law of Conservation of Energy
Energy cannot be created or destroyed
True or false: Inertia is a force that pushes objects.
False.
What did the cheerleader say to the quarterback when she caught a pass meant for Chase?
Not my name, quarterback.
A book rests on a table. The action force is the weight of the book pushing down. What is the reaction force?
The table pushing back.
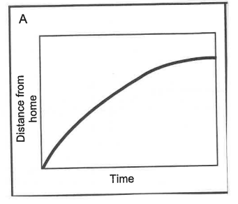
What is happening in this motion graph?

Someone left their home, started running and slowly came to a stop
The amplitude of an electromagnetic wave tells it it's _______?
Intensity
What is the name of the primary force that will stop an object from keeping a constant motion?
Friction
A cart with a mass of 8 kg accelerates at 3 m/s². What force is acting on the cart?
24 N
If you jump off a boat, what direction will the boat go?
The opposite direction.
If a runner completes a 400-meter race in 50 seconds, what is their average speed?
8 m/s
In My Hero Academia, who died and was brought back to life?
Double the points if you can tell me the season the death occurred.
Bakugo- season 7
In Fortnite Chapter 3, Season 3, what animals are rideable?
Wolves, boars and raptors
If a force of 20 N gives an object an acceleration of 4 m/s², what is the mass of the object?
5 kg
Two ice skaters standing face to face push against each other and move apart. If one skater has twice the mass of the other, what will happen?
The lighter skater will move back twice as fast.
What is happening in this motion graph?

Some one left their home, ran somewhere, stopped for a while, and then walked home.
A wind turbine converts kinetic energy into electrical energy. What is the source of this kinetic energy?
Wind
In space, what would happen to a moving object and why?
It would move at a constant speed because there is no friction.
A 13 kg object and a 17 kg object experience the same force. Which object will accelerate more?
The 13 kg object.
Name all six of the original Paw Patrol members and their leader.
Bonus point for singing the theme song.
Rubble, Sky, Rocky, Everest, Zuma, Marshall, and Ryder.
A car travels 240 miles north in 4 hours. What is its velocity?
60 mph north.
On the electromagnetic spectrum, what is the weakest and strongest waves on the spectrum
Radio Waves are the weakest, and Gamma rays are the strongest.
When you're riding in a car and it makes a sharp right turn, your body tends to move in which direction?
To the left
Two forces act on an object in opposite directions: 15 N to the right and 10 N to the left. If the object has a mass of 5 kg, what is its acceleration? (don't forget direction)
1 m/s² to the right.
In a rocket launch, what provides the propulsion forward for the rocket ship?
The exhaust gases coming from the bottom of the rocket ship.
Who is the all-time leader in rushing yards in the NFL?
Double the points if you can tell me the yardage within 500 yards over/under....
Emmitt Smith with 18,355 yards
If you are going to watch a movie on your Chromebook using its battery, what is the order of energy conversion?
Chemical (battery) Radiant (light) Sound