Fill in the blank:

3/4
If the numerator and denominator are the same, the fraction is equal to....
one whole!
Which is bigger, 1/6 or 1/10?
1/6! It has bigger slices.
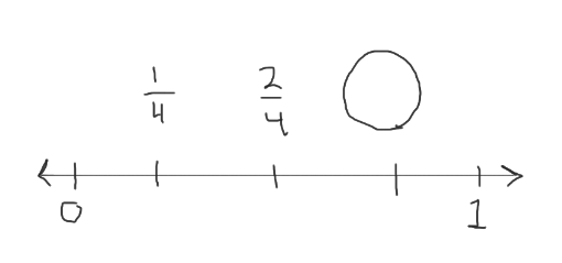
1/2 is equal to ____/ 4
2/4
Fill in the blank:
3/3 (one whole!)
What fraction does this show?
7/4
Which is smaller, 3/4 or 7/8?
3/4 is smaller! 7/8 has more space colored in.
Are these equivalent fractions? Why/Why not?
They are not! They are different sizes AND different shapes!
What fraction does the red dot represent?
4/5
What fraction does this show?
8/5
Which fraction is bigger?
3/4 is greater than 4/6
2/3 is equal to ___/9
6/9
What fraction is the red dot?
16/3
Is 6/7 an improper fraction? Why/why not?
Which fraction is smaller?
5/4 is smaller than 3/2.
1/2 is equal to _____/14
7/14
What mistake does this number line show?
it should be 4/3
Moo Moo says this fraction shows 8/17. Explain why he is wrong:
Moo Moo is confused because the fraction is 17/8. He did not remember that improper fractions can have more in the numerator than the denominator!
Which fraction is smaller, 3/4 or 6/8?
TRICK QUESTION, THEY ARE EQUAL!
To make an equivalent fraction, you _______ the same number to both the numerator and denominator.
Multiply!
Example: 2/4 is the same as 4/8, if you multiply 2x2 and 4x2!