f(x) =2x - 1
g(x) = 4x2 - 2
(f+g)(x) =
What is 4x2 + 2x - 3 ?
The domain of a function consists of this
What is x-values, possible x-values, x-value where function exists, etc.?
Odd/Even/Neither
(Show why algebraically)
x4 + 6
Neither
Graph y = x3 + 2
Plot 5 ordered pairs
Type into Calculator to check
Check 5 ordered pairs
Identify all Relative Max / Min (s)
What is (-1,-1) as a relative min, what is (1,0) as a relative max
h(x) =5x2 + 4
g(x) =x2 + 4x - 3
h(x) - g(x)
What is 4x2 -4x +7 ?
Determine the domain and the range of y = x2 + 4
D: All real numbers, and R:[4, infinite]
Odd / Even / Neither

What is Even
Graph y = -2|x -4| + 1
Plot at least 5 ordered pairs
Type into Calculator to check
Check 5 ordered pairs
h(0) =_____ and h(-4) = _____ and h(-2) = ____
h(0) = 0 , and h(-4) = -1, and h(-2) = 4
f(x) = 2x - 1
g(x) = 4x2 + 2
(fg)(x)
What is 8x3 - 4x2 + 4x - 2?
Domain and Range of
=
D:[-4, infinite] and R:All real numbers
Write the inverse of f(x) = 4x - 5
What is the y = (x+5)/4
Graph y = log x + 4
(1 correct point, correct asymptote)
Type into Calculator to check
Where is the function increasing? Decreasing?
What is increasing at (-1,1) and decreasing at (-5,-1) and (1,4)
f(x) = x+1
h(x) = x2 - 4x
h(f(x))
What is x2 - 2x?
Domain of f(x) = 1/ x
D: ( neg infinite, 0) and (0, infinite )
OR D: All real numbers except 0
Write the inverse of f(x) = (x -1)2 + 3
What is the y = (sqrt (x-3))+1
x-3 is under the square root, + 1 is not under
Graph y = 2x2 - 4
Plot at least 5 ordered pairs
Type into Calculator to check
Make sure to check 5 ordered pairs
f(x) = x2, write the equation for g(x)
g(x) = (x+3)2 - 2
f(x) = x+1
h(x) = x2 - 4x
g(x) = -|x - 6|
h(g(f(1))
What is 32?
Domain and Range of
D: [-4, 3] and R:[-3,2]
Are f(x) = 3x - 1 and g(x) = x/3 + 1 inverses?
(Show why!)
What is NO
Graph y = (1/x) - 3
(2 accurate points - 2 asymptotes)
Type into Calculator to check
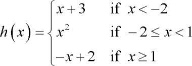
Graph the piecewise function
Ask Mrs.Fleck to check your answer