Which graph is a function?
Graph A
Determine which graph(s) are nonlinear?
Graph A and Graph B
What is the solution to the system of equations?

(1,3)
What is the name to the solution to a system of equations?
point of intersection
What is the initial value for Function B?
-10
Which table is not a function?
Table B
Is the table linear or nonlinear?
nonlinear
The senior classes at High School A and High School B planned separate trips to the local amusement park. The senior class at High School A rented and filled 2 vans and 12 buses with 390 students. High School B rented and filled 11 vans and 12 buses with 525 students. Each van and each bus carried the same number of students. How many students can a van carry? How many students can a bus carry?
Van 15, Bus 30
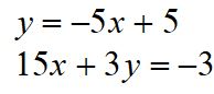
How many solutions to this system of equations?
1 solution
How much will both plans cost the same?
$26
Which map is not a function?
Map C
Between what two integers is the function decreasing and nonlinear?
between 1 and 4
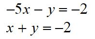
What is the solution to the system of equations?
No Solution
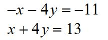
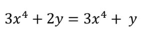
How many solutions to the system of equations?
0 solutions
Which plan is the cheapest on the 6th visit?
Plan 1
Which order pair can be removed to make the graph a function?
(1,2) or (1,1)
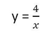
Is the equation linear or nonlinear?
nonlinear
Danielle's school is selling tickets to the annual dance competition. On the first day of ticket sales the school sold 3 adult tickets and 6 child tickets for a total of $102. The school took in $150 on the second day by selling 9 adult tickets and 6 child tickets. Find the price of an adult ticket.
$8
Same slope, same y-intercepts
infinite/many
Which function has the greatest slope?
Function B
Which two order pair(s) can be taken out to make the table a function?

(3,-5)(2,-4) or (3,-1)(2,-2)
Is this equation linear or nonlinear?
linear
What is the y-value to the system of equations?
2
Which system has inifinite/many solutions?
System C
What is the equation to the function table?
y = 4x + 3