Is this a function?

Yes! Only one arrow from each input value.
The domain of this function:

What is {-2, 0, 6, 8}?
If
f(x)=2x-11
Find
f(7)
What is
f(7) = 3
f(3) according to the graph

What is: f(3) = 3?
This ordered pair for the x-intercept:

What is (1, 0)?
The y-intercept of this function as an ordered pair:
3x-4y=8
What is (0, -2)?
Is this a function?
No! It fails the vertical line test.
The range of this function in set-builder notation.

What is
{y|y>=-3}
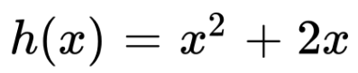
Find h(1) if:
What is h(1) = 3?
g(4) according to the table:
What is g(4) = -5?
The ordered pair for the y-intercept:

What is (0, 4)?
The x-intercept of this function as an ordered pair:
10x-3y=40
What is (4, 0)?
The table that represents this relation:

What is:

The domain of this function in set-builder notation:

What is
{x|x<=2}
Find k(-4) if:

What is k(-4) = -1?
h(2) according to the mapping diagram:

What is h(2) = 1?
The zero of the function:

What is -2?
The y-intercept of this function in function notation:
k(x)=3/4x-3
What is k(0)= -3?
The mapping diagram that represents this relation:

What is:

The ordered pairs that would create the range: {-3, 0, 5}

What is: (7, -3), (-4, 0) and (2, 5)?
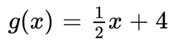
Find g(-20) if:

b(3) according to the table:

What is b(3) = 4?
The zeros of the function:

What are 0 and 3?
The x-intercept of this function in function notation:
j(x)=-6x+6
What is j(1) = 0?