The maximum of
y=-1/2x^2+3.
What is (0,3)?

The range of this graph.
What is (-∞,∞)?
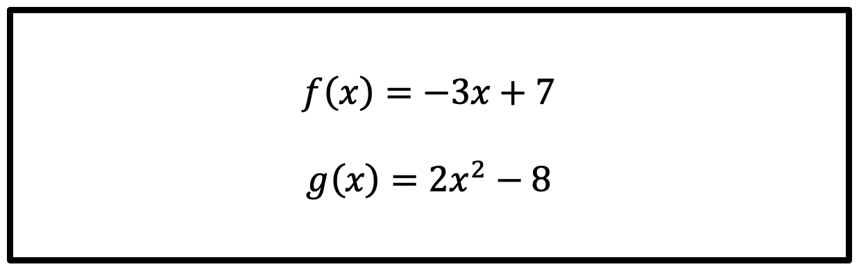
Given, 
it is g(-2)+f(3).
What is -2?
The transformations for the function
y=2sqrt(x-2)-3.
What are vertical stretch, right 2, and down 3?
The factors of
x^2-5x+6.
What are (x-3)(x-2)?
The inverse of
y= sqrtx+9.
What is
y=(x-9)^2?
The y-intercept for
x^3+11x^2+35x+32.
What is 32?
The range for
y=-1/2x^2+3.
What is (-∞,3]?
Given, 
it is f•g(x).
What is -6x3+14x2+24x-56?
The transformations of
y=2/3(-x)^3+1.
What are a vertical compression, reflection across the y-axis, and up 1?
The factors of
x^2-49.
What are (x+7)(x-7)?
The inverse of
y=(x/2-3)^2.
What is
y=2sqrt(x)+6?
The x-intercept for 
What is -3?
The interval of decrease for
x^3+11x^2+35x+32.
What is (-5,-2.333)?

h(2).
What is -1?
The transformations for
y=-root3(1/2x-4)+1.
What are a reflection across the x-axis, horizontal stretch, right 8, and up 1?
The factors of
x^12+2x^6-3.
What are
(x^6-1)(x^6+3).
The inverse of
y=-root3(2x-3).
What is
y=((-x)^3-3)/2?
The interval of increase for
What is (-4,∞)?

The domain.
What is (-4,∞)?
Given, 
it is f(g(-2)).
What is 7?
An absolute value function that moved right 2, down 3, vertically stretched by a factor of 2, and reflected across the y-axis.
What is
y=2|-x+2|-3?
Surprise! An odd function is symmetric about this.
What is the origin?
Surprise! An even function is symmetric about this.
What is the x-axis?
The zeros for 
What are -8, -3, 2, and 7?

The intervals of decrease.
What are (-6.5,-1.5) and (2,5.5)?
Given, 
it is g(f(x)).
What is 18x2-84x+90?
A cubic function that moved left 4, up 1, compressed horizontally by a factor of 3, and reflected across the x-axis.
What is
y=-(3x+12)^3+1?
The factors of
6x+sqrt(x)-35.
What are
(3sqrtx-7)(2sqrtx+5)?
The inverse of
1/(-x-1)+9.
What is
-1/(x-9)-1?