Fill in the blank with the correct vocab word:
The vertex of a _________ lies on the center of a circle.
Central angle
Find the value of x.
145
Name the a radius
AP, CP, or BP
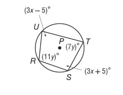
Find the m<S
45
Give the equation, state the center and the radius:
(x +3)^2 + y^2 = 121
Center: (-3,0)
Radius: 11
Fill in the blank with the correct vocab word:
A _____ has two endpoints on the circle.
chord
In ⨀P, the radius is 13 and RS = 24. Find TQ.
Round to the nearest hundredth.
8
The circumference = 36 inches, find the radius and the diameter to the nearest hundredth.
11.46 and 5.73
Determine whether if HI is tangent to the given circle.
yes
Write the equation of the circle shown:
(𝑥 − 1)2 + (𝑦 − 4)2 = 9
Fill in the blank with the correct vocab word:
A______ is an arc that measures 180 degrees.
semi circle
Find <R
50
Find the exact circumference, to the nearest hundredth
53.41ft
Find x. 
24
Write an equation of the circle with center at (7, -1), diameter of 16
(x-7)2 + (y+1)2 = 64
Fill in the blank with the correct vocab word:
A _____ is a line that intersects a circle at two points.
secant
Find <N.
17
The diameters of ⨀F and ⨀G are 5 and 6 units, respectively. Find BF
1/2
Find the m< 5
122
Write an equation of the circle with center at (5, –2), passes through (4, 0)
(x-5)2 + (y+2)2 = 5
Fill in the blank with the correct vocab word:
In the diagram, the polygon is ______ in the circle and the circle is ____ about a polygon.
inscribed, circumscribed
Find < S
95
Find the exact circumference (the hundredths) of a right triangle inscribed in a circle with legs 7 and 3 feet long.
23.93 feet
Find the m<6
66
Graph a circle with the equation: (x - 3)2 + (y+5)2 = 16
