What is the name of the tool used to measure angles?
Protractor
What does FOIL stand for?
First, Outside, Inside, Last
What is the maximum or minimum point in a parabola called?
The vertex
What are the three trig functions?
Sine, Cosine, Tangent
What is the name of the transformation that changes an object by the same scale in two directions?
Dilation
Foil:
(x+5)(x-2)
x^2+3x-10
If a quadratic equation has a negative coefficient on the x^2 term, does the parabola open up or down?
Down
What is the pythagorean theorem?
a^2 + b^2 = c^2
If a triangle with side lengths A = 3in and B = 7in is dilated and A' = 24in, what does B' equal?
56in
Factor:
2x^2+9x+4
(2x + 1)(x + 4)
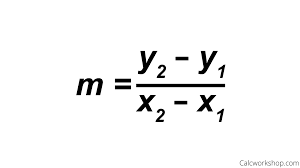
What is the slope formula?

What is the ratio of sides for sine?
opposite/hypotenuse
Name 3 triangle congruence theorems
SSS, SAS, ASA, AAS, HL
Factor:
3x^2 +2x + 6x + 4
(x + 2) (3x + 2)
How do you find the a-value using the second difference method?
1. Take the difference between y-values
2. Find the second-difference
3. Divide by 2
What is the ratio for tangent?
opposite/adjacent
What is this angle relationship called?
Alternate-interior angles
What is the quadratic formula?

What is the vertex form equation using (h,k) and (x,y)?
y = a (x - h)^2 +k
What trig function would you use to solve for an angle in a triangle when given the adjacent and hypotenuse sides?
Inverse cosine