The Mean?
What is 80?
The expression that represents John having four more nickels than dimes in his pocket when d represents the number of dimes he has
The image that does NOT represent a function
What is image (4)?
The number of solutions this system of equations has....
What is no solutions?
The inequality symbol that represents this graph
What is greater than or equal to?
The difference in frequencies between 61 -71 and 71 - 81
What is 2?
4/3(x+3/2)=4
The value of x that satisfies this equation
What is
3/2?
The function g(x) is defined as g(x) = 3x^2+4x . The value of g(−1) ....
What is -1?
The solution to this system of equations..
What is (2,2)?
The solution to the following inequality
4x - 8 < 2x -18
What is x < -5?
The interquartile range?
What is 2
The average rate of change from 0 to 4....
What is -0.1775?
F(-1) ?
What is 3?
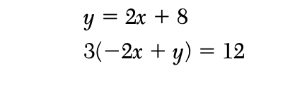
The solution to this system of equations
What is No solution?
The inequality that is equivalent to 5-3/4x>x+4
What is
x < 4/7
Percentage of college students that prefer classic rock?
What is 28%?
Andy has $270 in his account. Each week, w, he withdraws $15 for his expenses. Which expression could be used if he wanted to find out how much money he had left after 6 weeks?
What is 255-15(w-1)?
F(x) = 6?
What is -3?
The system of equations that represents the following siutation....
Sharonda uses a blend of dark chocolate and milk chocolate to make the ice cream topping at her restaurant. She needs to buy 120kg of chocolate in total for her next order, and her recipe calls for twice the amount of dark chocolate as milk chocolate.
2d = m
m + d = 120
The Inequality that represents this given situation?
What is .....
The box plot that represents all 15 values
Min - 1
Q1 - 2
Median - 3
Q3 - 4
Max - 5
Mo's farm stand sold a total of 165 pounds of apples and peaches. She sold apples for $1.75 per pound and peaches for $2.50 per pound.The pounds of apples she makes if she sold 337.50..
What is 100?
The domain that represents this graph
What is all x values from 0 to 8 (including 0 and 8)
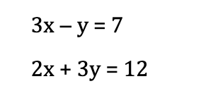
the solution to this system of equations ....
What is (3,2)?
The system of inequalities that represent this graph...
what is y is less than or equal to x +3 AND y is greater than or equal to -2x - 2?