A number q plus 8 is less than or equal to 15
q+8≤15
Solve the inequality and graph it.
x+2 ≤ 8
x≤6
What is the special rule you learned about inequalities when solving an inequality?
Switch the inequality symbol when multiplying/ dividing by a negative number.
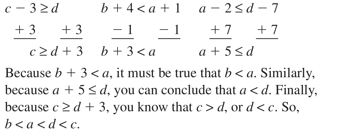
Solving Inequalities
Solve for x.
4x + 3 < 7
x < 1
Maria wants to bake cookies. She has 40 dollars to spend on ingredients. Sugar costs 8 dollars, flour costs 12 dollars, and chocolate chips cost x dollars. She needs to spend less than 40 dollars in total.
Create an Inequality that represents the situation and solve it.
8+12+x<40
x<20
The sum of a number y and 4 is no less than the product of 5 and 6
y+4≥30
4x>-8
x>-2

Solve the Inequality
-2x < -15
What is:
x >7.5
Solving Inequalities
Solve for x.
2x+6x - 5 > 11
x > 2
A bakery sells cookies for 2 dollars each. Their daily expenses are 150 dollars. Let x = the number of cookies sold. The bakery wants to make a profit, so revenue must be greater than expenses.
Create an inequality and find out how many cookies does the bakery has to sell to make a profit?
2x>150
x>75
Write an Inequality that represents the graph.

y>-4
or variable/letter of your choice >-4
Solve the Inequality and graph it
x/2+2<-3
x<-10

Solve the Inequality.
-x/6geq4
xleq-24
Solving Inequalities
Solve for x.
5b<= 3(b-4)
What is:
x<= -6
Elena is preparing lasagna for a big family dinner. She has at most 4 hours to cook. Each lasagna takes 50 minutes to prepare and bake. If she makes x lasagnas, then the total time must be less than or equal to 4 hours (240 minutes).
Create an Inequality and solve it to find out how many lasagnas can Elena cook.
50x≤240
x≤4.8
Elena can make at most 4 lasagnas.
Write an Inequality that represents the graph.

y≤9
or variable/letter of your choice ≤9
Solve the Inequality and graph it.
-6>z-(-13)
-19>z
or
z<-19

Solve the Inequality
-12b> -3(3b-15)
b< -15
Solve the inequality.
2v+5v+8leq6v-1
vleq-9
Write the next two numbers in the pattern.

55,89
The tallest person who ever lived was approximately 8 feet and 11 inches tall.
Write an inequality that represents the heights of every other person who has ever lived.
Is 9 feet a solution of the inequality? Explain
h<107
No, a height of 9 feet is equivalent to 108 inches, which is not less than 107 inches.


Solve the Equation:
-x/3+3/2<-11/6
x>10
Solve the Inequality.
-5x+4x-8geq-x-9
Write the next two letters.

J,J