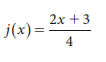
What is the inverse of (2x+3)/4
What is 2x-(3/2)
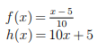
f(x) = (x-5)/10
h(x)=10x+5
What is Yes
What is the notation for inverse function?
What is 
Find f(g(x))
g(x)=2x+7 f(x)=4x
What is 8x+14
Which graph has an inverse function?
y= x2 or y= x
What is y=x
What is the inverse of 3x+1
What is (x-1)/3
f(x) =3(x-9)
g(x) =(1/3x) + 9
What is Yes
The graph of a function that passes through the point (-3,4). What point must lie on the graph of the function's inverse?
What is (4,-3)
Simplify (6x+3)/3
What is 2x
Find the inverse for each relation.
{ (1, -3), (-2, 3), (5, 1), (6, 4) }
What is {(-3,1), (3,-2), (1,5), (4,6)}
The inverse of g(x)=(8-5x)/4
What is (4x-8)/5

No
For a given invertible function, f(3)=-2. What is the value of f-1(-2)?
What is 3?
The domain of an invertible function is 7<x<50. What does this tell us about the inverse function?
What is range of 7<y<50?
Does 3/x have an inverse function.
What is yes?
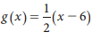
g(x) = 1/2(x-6)
What is 2x+6
g(x) = (8+9x)/2
f(x)=(5x-9)/2
What is No
When given the domain and range of a function but not the actual function, what information do I know about my inverse function?
What is the domain and range of my inverse function by interchanging x & y
The domain of an invertible function is <-2 and its range is >23. What are the domain and range of its inverse?
What is domain > 23 and range<-2?
Does x4 have an inverse function?
What is no?
f(x) =x2 +4
What is sq rt(x-4)
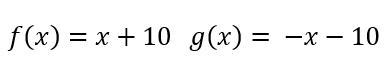
f(x) = 2x+2 g(x)=2x-2
No
The rule for a function cannot equal the rule of its inverse
What is false
Find the inverse of h(x)=-x+3
What must f(g(x)) and g(f(x)) equal in order to prove f(x) and g(x) are inverse functions?
x
Fill in the missing blank.
f(x) f-1(x)
x y x y
2 4 4 2
5 7 7
What is 5