A roller coaster is at the top of the track. What kind of energy does it have?
Gravitational Potential (just Potential is valid)
What is the formula for speed?
S=D/T
Which of these has the most kinetic energy? DAILY DOUBLE
A. a 25g fish swimming in a fish tank
B. a 50g fish swimming in a fish tank
B. a 50g fish swimming in a fish tank
What is the formula for Distance?
D= S x T
Apple sitting on a branch.
potential
A ball is rolling down a hill. What kind of energy does it have?
What is kinetic
How fast is a car going if it went 10 miles in 5 hours?
2 mph
Which change would increase the kinetic energy of a moving object the most?
A. reducing the speed by half
B. doubling the mass of the object
C. doubling the speed of the object
C. doubling the speed of the object
At what point does the pendulum have the most GPE?

A and G
Apple falling to the ground.
kinetic
What potential energy is it when the object is off the ground?
What is gravitational potential energy
What does this graph show?

Constant Speed
What does this graph show?

Slowing Down (Deceleration)
At what point does the pendulum have the most kinetic energy?

D
Bicyclist pedaling up a hill.
kinetic
How is mechanical energy calculated? DAILY DOUBLE
By adding potential and kinetic energy.
A person walking up the hill is transforming what kind of energy to what kind of energy?
kinetic energy to gravitational potential energy
What is the formula for time? DAILY DOUBLE!!!
T=D/S
Potential Energy depends on:
Height and Mass
Kinetic Energy depends on: Choose 2.
height
mass
speed
speed
mass
What does this graph show?

At Rest
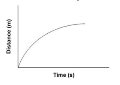
What does this graph show?

Speeding Up (Acceleration)
What does this graph show?

1-Constant Speed
2-At Rest
3-Back to Start
Kinetic energy depends on:
A=Mass and Speed
B=Mass and Height
A
Potential Energy depends on: Choose 2.
Mass
Height
Speed
Height
Mass
What is the formula for Distance?

Describe the 3 different types of motion in this graph.
Constant Speed, At Rest, Acceleration
What is the formula for Time?

Distance Divided by Speed
The following cars are the same, but have different amounts of blocks inside them. Which car has more kinetic energy? DAILY DOUBLE

B
What do we call the law that states energy cannot be created or destroyed, only transferred?
The Law of Conservation of Energy.