Grab Bag 1
Hittin' the Slopes
Grab Bag 2
Graph That!
Equationz
100

In slope-intercept form of an equation, this letter stands for the y-intercept.

What is b?

100

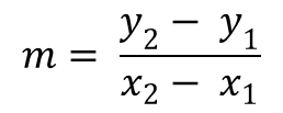
This is the Slope Formula, used to find the slope of a line passing through any two given points.

What is

 

100

In slope-intercept form of an equation, this letter stands for slope.

What is m?

100

These are the two axes in any standard coordinate plane.

What are x and y?

100

This is slope-intercept form of a linear equation.

What is y = mx + b?

200

This number is the slope of the line represented by the equation y = -3x + 2.

What is -3?

200

This number is the slope of the line given by the equation y = 7x - 2.

What is 7?

200

This number is the y-intercept of the line represented by the equation -2x+ 5y = 15.

What is 3?

200

Linear equations in this form are easiest to graph.

What is slope-intercept form?

200

This is the equation (in slope-intercept form) of the line that passes through the points (1, 3) and (0, -3).

What is y = 6x - 3?

300

What would be the slope of a line parallel to the equation 3x + 2y = 6?

-3/2

300

This number is the slope of the line that crosses the points (1, 3) and (5, 11).

What is 2?

300

This is the equation (in slope-intercept form) of the line that passes through the points (0, 3) and (-2, 7).

What is y = -2x + 3?

300

Describe the graph that shows the line y = x + 3.

Slope? Y-intercept?

Slope = 1 

y-int = 3

300

This is the equation (in slope-intercept form) of the line that passes through the points (1, -1) and (2, 4).

What is y = 5x - 6?

400

Convert to slope-intercept form: 2x + 2y = 6

 y = -x + 3

400

This number is the slope of the line that crosses the points (-3, -1) and (-8, 8).

What is -9/5?

400

This equation (in slope-intercept form) is the same as this equation written in standard form: -4x + 2y = 8

What is y = 2x + 4?

400

Describe the graph that shows the line 6x + 2y = -8.

Slope? Y-intercept?

Slope = -3

Y-int = -4

400

This is the equation (in slope-intercept form) of the line that passes through the points (0, 5) and (-2, -2).

What is ?

500

It's the equation (in slope-intercept form) of the line that passes through the point (5, 2) and is parallel to the line .

What is ?

500

This number the slope of the line given in standard form as 4x + 3y = -2.

What is -4/3?

500

This is the equation for point-slope form.

What is y - y1 = m(x - x1)

500

What would be the slope of the line that is perpendicular to the line 7x + 8y = 16?

8/7
500

This is the equation (in slope-intercept form) of the line that passes through the point (2, 4) and is parallel to the line y = x - 3.

What is y = x + 2?

M
e
n
u